Suppr超能文献

在 中具有保守基序的效应子候选基因的全基因组鉴定和特征分析。

Genome-Wide Identification and Characterization of Effector Candidates with Conserved Motif in .

机构信息

State Key Laboratory for Managing Biotic and Chemical Treats to the Quality and Safety of Agro-Products, Institute of Plant Protection and Microbiology, Zhejiang Academy of Agricultural Sciences, Hangzhou 310021, China.

State Key Laboratory for Managing Biotic and Chemical Treats to the Quality and Safety of Agro-Products, Institute of Digital Agriculture, Zhejiang Academy of Agricultural Sciences, Hangzhou 310021, China.

出版信息

Int J Mol Sci. 2024 Jan 4;25(1):650. doi: 10.3390/ijms25010650.

Abstract

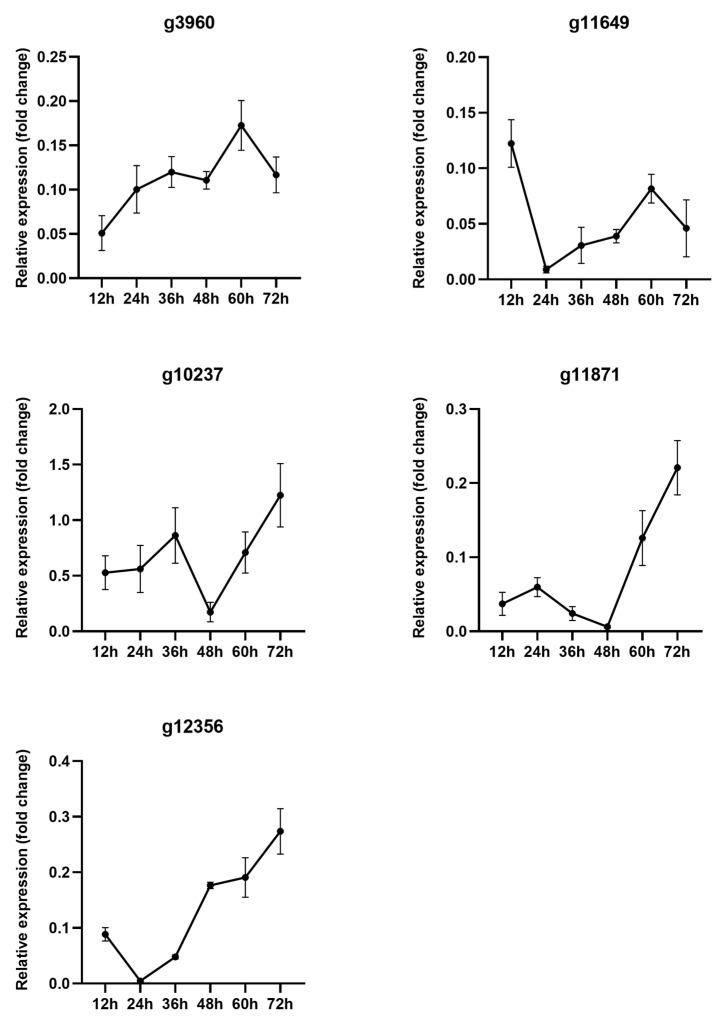
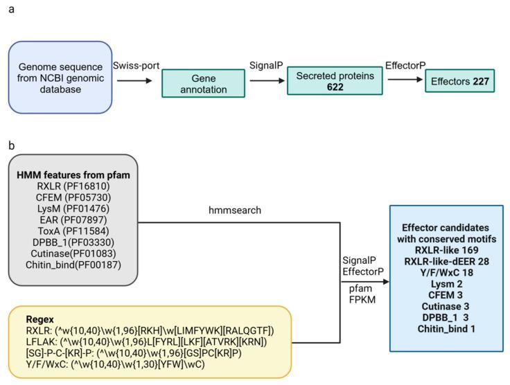
Microbes employ effectors to disrupt immune responses and promote host colonization. Conserved motifs including RXLR, LFLAK-HVLVxxP (CRN), Y/F/WxC, CFEM, LysM, Chitin-bind, DPBB_1 (PNPi), and Cutinase have been discovered to play crucial roles in the functioning of effectors in filamentous fungi. Nevertheless, little is known about effectors with conserved motifs in endophytes. This research aims to discover the effector genes with conserved motifs in the genome of rice endophyte . SignalP identified a total of 622 secreted proteins, out of which 227 were predicted as effector candidates by EffectorP. By utilizing HMM features, we discovered a total of 169 effector candidates with conserved motifs and three novel motifs. Effector candidates containing LysM, CFEM, DPBB_1, Cutinase, and Chitin_bind domains were conserved across species. In the transient expression assay, it was observed that one CFEM and one LysM activated cell death in tobacco leaves. Moreover, two CFEM and one Chitin_bind inhibited cell death induced by Bax protein. At various points during the infection, the genes' expression levels were increased. These results will help to identify functional effector proteins involving omics methods using new bioinformatics tools, thus providing a basis for the study of symbiosis mechanisms.

摘要

微生物利用效应子来破坏免疫反应并促进宿主定殖。在丝状真菌中,已经发现包括 RXLR、LFLAK-HVLVxxP (CRN)、Y/F/WxC、CFEM、LysM、几丁质结合、DPBB_1 (PNPi) 和角质酶在内的保守基序在效应子的功能中发挥着关键作用。然而,对于内共生体中具有保守基序的效应子知之甚少。本研究旨在发现水稻内生菌基因组中具有保守基序的效应子基因。SignalP 总共鉴定了 622 种分泌蛋白,其中 227 种被 EffectorP 预测为效应子候选物。通过利用 HMM 特征,我们总共发现了 169 个具有保守基序和三个新基序的效应子候选物。含有 LysM、CFEM、DPBB_1、角质酶和几丁质结合域的效应子候选物在物种间是保守的。在瞬时表达试验中,观察到一个 CFEM 和一个 LysM 在烟草叶片中激活细胞死亡。此外,两个 CFEM 和一个 Chitin_bind 抑制了 Bax 蛋白诱导的细胞死亡。在感染的不同阶段,基因的表达水平都有所增加。这些结果将有助于利用新的生物信息学工具通过组学方法鉴定涉及共生机制的功能效应蛋白,从而为共生机制的研究提供基础。

https://cdn.ncbi.nlm.nih.gov/pmc/blobs/99ba/10779213/3154966657c8/ijms-25-00650-g001.jpg

文献AI研究员

20分钟写一篇综述,助力文献阅读效率提升50倍。

立即体验

用中文搜PubMed

大模型驱动的PubMed中文搜索引擎

马上搜索

文档翻译

学术文献翻译模型,支持多种主流文档格式。

立即体验