Suppr超能文献

添加纳米羟基磷灰石的生物基聚乳酸/聚丁二酸丁二醇酯/聚己二酸/对苯二甲酸丁二醇酯三元共混物:热学、物理和力学研究

Bio-Based PLA/PBS/PBAT Ternary Blends with Added Nanohydroxyapatite: A Thermal, Physical, and Mechanical Study.

作者信息

Chen Pei-Hua, Chen Chin-Wen, Mao Hsu-I, Dai Chi-An, Su Chie-Shaan, Tsai Jung-Chin, Lin Feng-Huei

机构信息

Department of Biomedical Engineering, National Taiwan University, Taipei 106319, Taiwan.

Department of Orthopedics, Shuang Ho Hospital, Taipei Medical University, New Taipei City 235041, Taiwan.

出版信息

Polymers (Basel). 2023 Nov 30;15(23):4585. doi: 10.3390/polym15234585.

Abstract

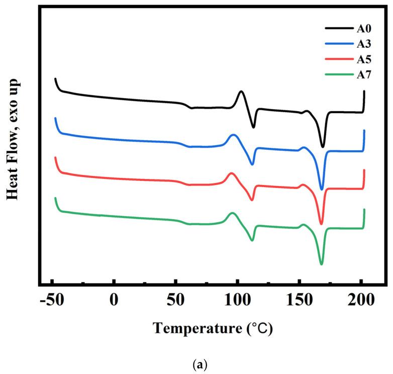
The physical and mechanical properties of novel bio-based polymer blends of polylactic acid (PLA), poly(butylene succinate) (PBS), and poly (butylene adipate-co-terephthalate) (PBAT) with various added amounts of nanohydroxyapatite (nHA) were investigated in this study. The formulations of PLA/PBS/PBAT/nHA blends were divided into two series, A and B, containing 70 or 80 wt% PLA, respectively. Samples of four specimens per series were prepared using a twin-screw extruder, and different amounts of nHA were added to meet the regeneration needs of bone graft materials. FTIR and XRD analyses were employed to identify the presence of each polymer and nHA in the various blends. The crystallization behavior of these blends was examined using DSC. Tensile and impact strength tests were performed on all samples to screen feasible formulations of polymer blends for bone graft material applications. Surface morphology analyses were conducted using SEM, and the dispersion of nHA particles in the blends was further tested using TEM. The added nHA also served as a nucleating agent aimed at improving the crystallinity and mechanical properties of the blends. Through the above analyses, the physical and mechanical properties of the polymer blends are reported and the most promising bone graft material formulations are suggested. All blends were tested for thermal degradation analysis using TGA and thermal stability was confirmed. The water absorption experiments carried out in this study showed that the addition of nHA could improve the hydrophilicity of the blends.

摘要

本研究考察了聚乳酸(PLA)、聚丁二酸丁二醇酯(PBS)和聚己二酸/对苯二甲酸丁二醇酯(PBAT)与不同添加量纳米羟基磷灰石(nHA)组成的新型生物基聚合物共混物的物理和力学性能。PLA/PBS/PBAT/nHA共混物的配方分为A、B两个系列,分别含有70 wt%或80 wt%的PLA。使用双螺杆挤出机制备了每个系列四个试样的样品,并添加不同量的nHA以满足骨移植材料的再生需求。采用傅里叶变换红外光谱(FTIR)和X射线衍射(XRD)分析来确定各种共混物中每种聚合物和nHA的存在情况。使用差示扫描量热法(DSC)研究了这些共混物的结晶行为。对所有样品进行拉伸和冲击强度测试,以筛选适用于骨移植材料应用的聚合物共混物可行配方。使用扫描电子显微镜(SEM)进行表面形态分析,并使用透射电子显微镜(TEM)进一步测试nHA颗粒在共混物中的分散情况。添加的nHA还用作成核剂,旨在提高共混物的结晶度和力学性能。通过上述分析,报告了聚合物共混物的物理和力学性能,并提出了最具前景的骨移植材料配方。使用热重分析仪(TGA)对所有共混物进行热降解分析测试,并确认了热稳定性。本研究进行的吸水性实验表明,添加nHA可以提高共混物的亲水性。

https://cdn.ncbi.nlm.nih.gov/pmc/blobs/a6fc/10708084/1ee7dff2b779/polymers-15-04585-g001a.jpg

文献AI研究员

20分钟写一篇综述,助力文献阅读效率提升50倍。

立即体验

用中文搜PubMed

大模型驱动的PubMed中文搜索引擎

马上搜索

文档翻译

学术文献翻译模型,支持多种主流文档格式。

立即体验