Suppr超能文献

用于组织工程和再生医学的细胞外基质衍生材料:从分离到表征及应用的历程。

Extracellular matrix-derived materials for tissue engineering and regenerative medicine: A journey from isolation to characterization and application.

作者信息

Noro Jennifer, Vilaça-Faria Helena, Reis Rui L, Pirraco Rogério P

机构信息

3B's Research Group, I3Bs - Research Institute on Biomaterials, Biodegradables and Biomimetics, University of Minho, Headquarters of the European Institute of Excellence on Tissue Engineering and Regenerative Medicine, AvePark, Parque de Ciência e Tecnologia, Zona Industrial da Gandra, 4805-017, Barco, Guimarães, Portugal.

ICVS/3B's - PT Government Associate Laboratory, Braga, Guimarães, Portugal.

出版信息

Bioact Mater. 2024 Jan 17;34:494-519. doi: 10.1016/j.bioactmat.2024.01.004. eCollection 2024 Apr.

Abstract

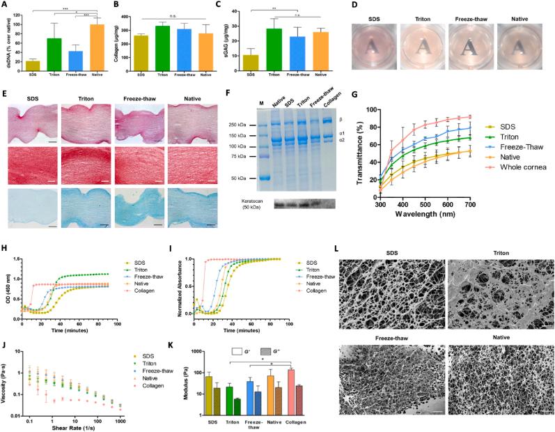
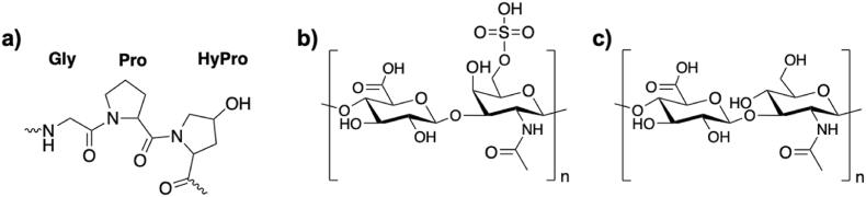
Biomaterial choice is an essential step during the development tissue engineering and regenerative medicine (TERM) applications. The selected biomaterial must present properties allowing the physiological-like recapitulation of several processes that lead to the reestablishment of homeostatic tissue or organ function. Biomaterials derived from the extracellular matrix (ECM) present many such properties and their use in the field has been steadily increasing. Considering this growing importance, it becomes imperative to provide a comprehensive overview of ECM biomaterials, encompassing their sourcing, processing, and integration into TERM applications. This review compiles the main strategies used to isolate and process ECM-derived biomaterials as well as different techniques used for its characterization, namely biochemical and chemical, physical, morphological, and biological. Lastly, some of their applications in the TERM field are explored and discussed.

摘要

生物材料的选择是组织工程和再生医学(TERM)应用开发过程中的关键步骤。所选生物材料必须具备一些特性,以便能模拟生理过程,重现导致体内平衡组织或器官功能重建的多个过程。源自细胞外基质(ECM)的生物材料具有许多此类特性,并且它们在该领域的应用一直在稳步增加。鉴于其重要性日益凸显,有必要全面概述ECM生物材料,包括其来源、加工以及在TERM应用中的整合。本综述汇编了用于分离和加工源自ECM的生物材料的主要策略,以及用于其表征的不同技术,即生化和化学、物理、形态学和生物学技术。最后,探讨并讨论了它们在TERM领域的一些应用。

https://cdn.ncbi.nlm.nih.gov/pmc/blobs/53af/10827697/bff409c3b516/ga1.jpg

文献AI研究员

20分钟写一篇综述,助力文献阅读效率提升50倍。

立即体验

用中文搜PubMed

大模型驱动的PubMed中文搜索引擎

马上搜索

文档翻译

学术文献翻译模型,支持多种主流文档格式。

立即体验