Suppr超能文献

一种新型的基于乙酰丙酸的聚氯乙烯环保辅助增塑剂的合成与性能

Synthesis and Properties of a Novel Levulinic Acid-Based Environmental Auxiliary Plasticizer for Poly(vinyl chloride).

作者信息

You Zeyu, Yu Min, Fu Renli, Nie Xiaoan, Chen Jie

机构信息

Key Laboratory of Biomass Energy and Material, Institute of Chemical Industry of Forest Products, Chinese Academy of Forestry, Nanjing 210042, China.

College of Materials Science and Technology, Nanjing University of Aeronautics and Astronautics, Nanjing 210016, China.

出版信息

Polymers (Basel). 2024 Jan 29;16(3):361. doi: 10.3390/polym16030361.

Abstract

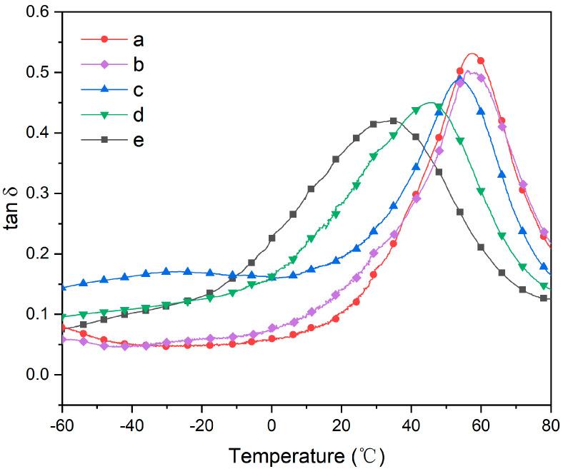
Herein, a bio-based plasticizer ketalized tung oil butyl levulinate (KTBL) was developed using methyl eleostearate, a derivative of tung oil, and butyl levulinate. KTBL can be used as an auxiliary plasticizer to partially replace traditional plasticizer. The plasticizer has a ketone structure, an ester base, and a long linear chain. It was mixed with dioctyl phthalate (DOP), and the effect of the plasticizer KTBL as an auxiliary plasticizer on the plasticization of poly(vinyl chloride) (PVC) was studied. Their compatibility and plasticizing effect were evaluated using dynamic-mechanical thermal analysis (DMA), mechanical property analysis, and thermogravimetric analysis (TGA). The results demonstrate that when the KTBL to DOP ratio is 1:1, the blended sample with KTBL exhibits superior mechanical performance compared to pure DOP, resulting in an increased elongation at break from 377.47% to 410.92%. Moreover, with the increase in KTBL content, the durability is also significantly improved. These findings suggest that KTBL can serve as an effective auxiliary plasticizer for PVC, thereby reducing the reliance on DOP.

摘要

在此,使用桐油衍生物硬脂酸甲酯和乙酰丙酸丁酯开发了一种生物基增塑剂缩酮化桐油乙酰丙酸丁酯(KTBL)。KTBL可用作辅助增塑剂以部分替代传统增塑剂。该增塑剂具有酮结构、酯基和长线性链。将其与邻苯二甲酸二辛酯(DOP)混合,并研究了增塑剂KTBL作为辅助增塑剂对聚氯乙烯(PVC)增塑的效果。使用动态机械热分析(DMA)、力学性能分析和热重分析(TGA)对它们的相容性和增塑效果进行了评估。结果表明,当KTBL与DOP的比例为1:1时,与纯DOP相比,含有KTBL的共混样品表现出优异的力学性能,断裂伸长率从377.47%提高到410.92%。此外,随着KTBL含量的增加,耐久性也显著提高。这些发现表明,KTBL可作为PVC的有效辅助增塑剂,从而减少对DOP的依赖。

https://cdn.ncbi.nlm.nih.gov/pmc/blobs/9cfe/10857383/ce1b25854897/polymers-16-00361-g001.jpg

文献AI研究员

20分钟写一篇综述,助力文献阅读效率提升50倍。

立即体验

用中文搜PubMed

大模型驱动的PubMed中文搜索引擎

马上搜索

文档翻译

学术文献翻译模型,支持多种主流文档格式。

立即体验