Suppr超能文献

聚苯乙烯的生物降解研究: 参与降解途径的潜在酶的鉴定。

Biodegradation of Polystyrene by : Identification of Potential Enzymes Involved in the Degradative Pathway.

机构信息

Department of Biochemistry and Molecular Biology, Faculty of Biological Sciences, University of Concepción, Concepción 4070409, Chile.

Department of Instrumental Analysis, Faculty of Pharmacy, University of Concepción, Concepción 4070409, Chile.

出版信息

Int J Mol Sci. 2024 Jan 27;25(3):1576. doi: 10.3390/ijms25031576.

Abstract

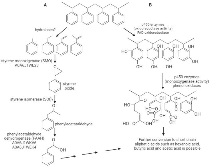
is a lepidopteran whose larval stage has shown the ability to degrade polystyrene (PS), one of the most recalcitrant plastics to biodegradation. In the present study, we fed larvae with PS for 54 days and determined candidate enzymes for its degradation. We first confirmed the biodegradation of PS by Fourier transform infrared spectroscopy- Attenuated total reflectance (FTIR-ATR) and then identified candidate enzymes in the larval gut by proteomic analysis using liquid chromatography with tandem mass spectrometry (LC-MS/MS). Two of these proteins have structural similarities to the styrene-degrading enzymes described so far. In addition, potential hydrolases, isomerases, dehydrogenases, and oxidases were identified that show little similarity to the bacterial enzymes that degrade styrene. However, their response to a diet based solely on polystyrene makes them interesting candidates as a potential new group of polystyrene-metabolizing enzymes in eukaryotes.

摘要

是鳞翅目昆虫,其幼虫阶段已显示出能够降解聚苯乙烯(PS)的能力,PS 是最难生物降解的塑料之一。在本研究中,我们用 PS 喂养幼虫 54 天,并确定了其降解的候选酶。我们首先通过傅里叶变换红外光谱-衰减全反射(FTIR-ATR)确认 PS 的生物降解,然后通过液相色谱与串联质谱联用(LC-MS/MS)的蛋白质组学分析鉴定幼虫肠道中的候选酶。其中两种蛋白质与迄今为止描述的苯乙烯降解酶具有结构相似性。此外,还鉴定出潜在的水解酶、异构酶、脱氢酶和氧化酶,它们与降解苯乙烯的细菌酶几乎没有相似性。然而,它们对仅基于聚苯乙烯的饮食的反应使它们成为真核生物中潜在的聚苯乙烯代谢酶新组的有趣候选物。

https://cdn.ncbi.nlm.nih.gov/pmc/blobs/e739/10855133/d9db64dad15e/ijms-25-01576-g001.jpg

文献AI研究员

20分钟写一篇综述,助力文献阅读效率提升50倍。

立即体验

用中文搜PubMed

大模型驱动的PubMed中文搜索引擎

马上搜索

文档翻译

学术文献翻译模型,支持多种主流文档格式。

立即体验