Suppr超能文献

基于传统与感知出行时间衡量标准的阿片类药物治疗项目可及性

Accessibility of Opioid Treatment Programs Based on Conventional vs Perceived Travel Time Measures.

作者信息

Kim Junghwan, Lee Jinhyung, Thornhill Thomas A, Dennett Julia, Lu Haidong, Howell Benjamin, Grau Lauretta E, Fiellin David A, Heimer Robert, Gonsalves Gregg

机构信息

Department of Geography, College of Natural Resources and Environment, Virginia Tech, Blacksburg.

Department of Geography and Environment, Faculty of Social Science, Western University, London, Ontario, Canada.

出版信息

JAMA Netw Open. 2024 Feb 5;7(2):e240209. doi: 10.1001/jamanetworkopen.2024.0209.

Abstract

IMPORTANCE

Transportation barriers have long been associated with poorer health outcomes; this burden is especially acute for individuals with opioid use disorder (OUD), a chronic disease often associated with low socioeconomic status. Conventional travel time analyses may not fully account for experiential components of travel, thereby understating the true travel burden and overstating treatment accessibility to opioid treatment programs (OTPs).

OBJECTIVE

To develop a metric of feels-like accessibility for those using public transit to access OTPs that accounts for the realistic travel burden on individuals with OUD.

DESIGN, SETTING, AND PARTICIPANTS: This cross-sectional study integrated high-resolution transit schedules and operating hours of OTPs to measure feels-like accessibility. Feels-like accessibility considers the differential outcomes of out-of-vehicle travel components and more realistically reflects individuals' transportation burden than conventional accessibility measures. Gini indices and spatial regression models were used to investigate inequities in accessibility. Geocoded data for residential addresses of 1018 overdose fatalities in Connecticut in 2019 were used as a proxy for the treatment needs of individuals with OUD. Data were analyzed between May and August 2023.

MAIN OUTCOMES AND MEASURES

Conventional and feels-like accessibility scores.

EXPOSURES

Fluctuations in public transit frequencies over the course of the day and the limited operating hours of the OTPs.

RESULTS

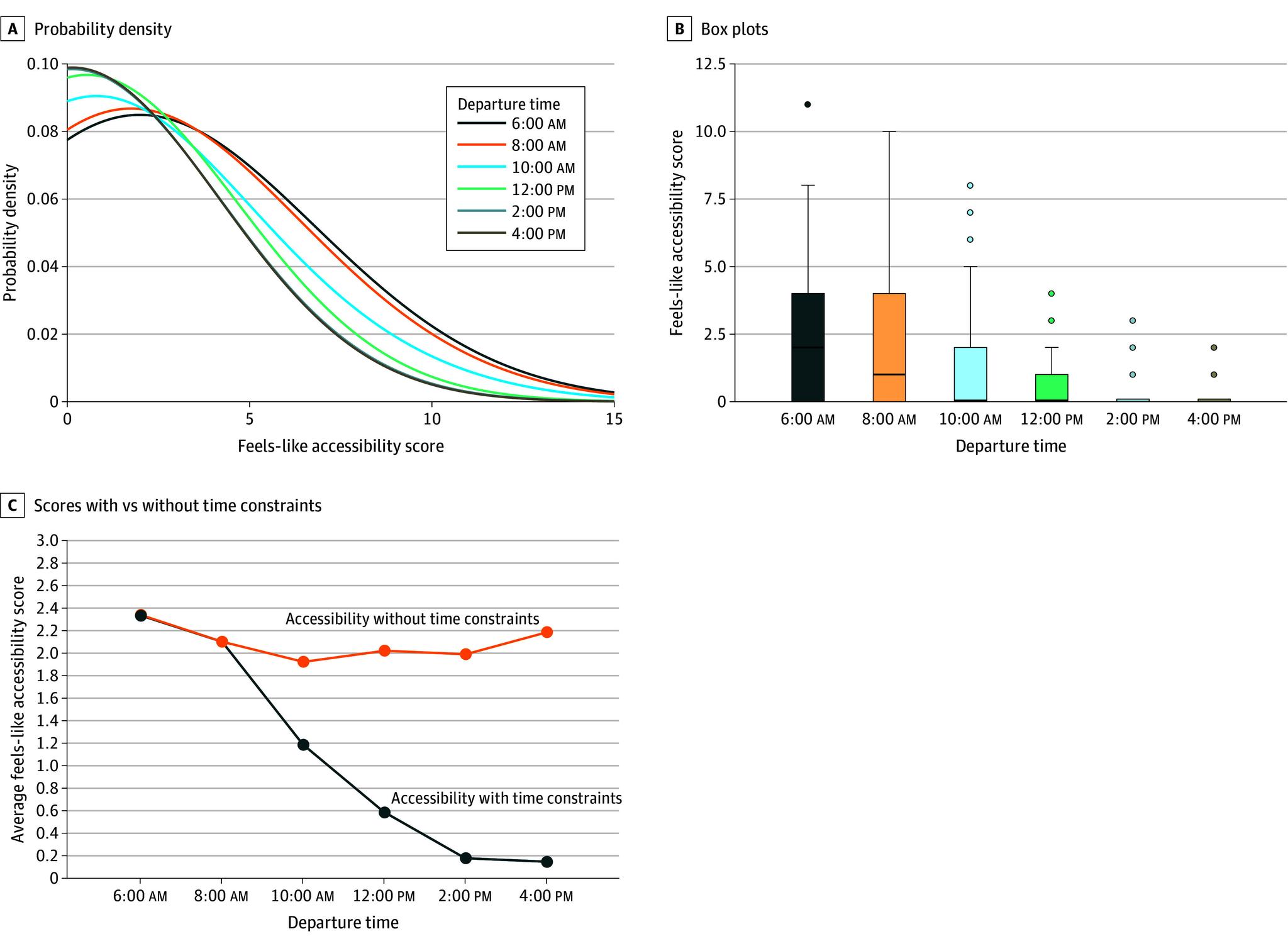
Of the 1018 individuals in the study, the mean (SD) age at death was 43.7 (12.6) years, 784 individuals (77%) were men, 111 (11%) were African American, and 889 (87%) were White, with other racial and ethnic categories including 18 individuals (2%). A total of 264 individuals in the sample (26%) could not access an OTP within 180 minutes. For those who could access these facilities, the average 1-way travel time was 45.6 minutes, with individuals spending approximately 70% of their trip duration on out-of-vehicle travel components. The conventional accessibility metric underestimates individuals' travel burden to OTPs as well as the inequity in accessibility compared with the feels-like accessibility metric. For example, the median (range) conventional accessibility score, defined as the number of OTPs within 120 minutes of transit travel time, was 5.0 (0.0-17.0); the median (range) feels-like accessibility score, defined as the number of OTPs within 120 minutes of transit travel time weighted to account for in- and out-of-vehicle segments, was 1.0 (0.0-10.0). There is a considerable temporal variation in travel time and accessibility depending on the departure times.

CONCLUSIONS AND RELEVANCE

In this cross-sectional study of travel burdens, the calculated feels-like accessibility scores, which consider the differential outcomes of out-of-vehicle travel components (eg, walking and waiting), could better and more realistically reflect passengers' transportation burden. Policy recommendations derived from the conventional accessibility metric could be misleading, and decision-makers should use feels-like accessibility metrics that adequately capture individuals' travel burdens. In the context of access to OTPs, the findings from this study suggest that opening new OTP sites to address gaps in access due to distance to services or extending hours of operation at existing sites may ameliorate the travel burden for individuals.

摘要

重要性

交通障碍长期以来一直与较差的健康结果相关;对于患有阿片类药物使用障碍(OUD)的个体而言,这种负担尤为严重,OUD是一种常与社会经济地位低下相关的慢性病。传统的出行时间分析可能无法充分考虑出行的体验因素,从而低估了实际出行负担,并高估了阿片类药物治疗项目(OTP)的治疗可及性。

目的

为使用公共交通前往OTP的人群制定一种考虑到OUD个体实际出行负担的“感觉可达性”指标。

设计、背景和参与者:这项横断面研究整合了高分辨率的公交时刻表和OTP的运营时间来衡量感觉可达性。感觉可达性考虑了车外出行部分的不同结果,比传统的可达性测量方法更能真实地反映个体的交通负担。使用基尼指数和空间回归模型来研究可达性方面的不公平性。2019年康涅狄格州1018例过量用药死亡者的住宅地址地理编码数据被用作OUD个体治疗需求的替代指标。数据于20日至年8月进行分析。

主要结局和测量指标

传统可达性得分和感觉可达性得分。

暴露因素

一天中公共交通频率的波动以及OTP有限的运营时间。

结果

在该研究的1018名个体中,平均(标准差)死亡年龄为43.7(12.6)岁,784人(77%)为男性,111人(11%)为非裔美国人,889人(87%)为白人,其他种族和族裔类别包括18人(2%)。样本中共有264人(26%)在180分钟内无法到达OTP。对于那些能够到达这些设施的人来说,平均单程出行时间为45.6分钟,个体在车外出行部分花费的时间约占其行程总时长的70%。与感觉可达性指标相比,传统可达性指标低估了个体前往OTP的出行负担以及可达性方面的不公平性。例如,传统可达性得分的中位数(范围),定义为公交出行时间120分钟内的OTP数量,为5.0(0.0 - 17.0);感觉可达性得分的中位数(范围),定义为公交出行时间120分钟内加权考虑车内和车外路段后的OTP数量,为1.0(0.0 - 10.0)。出行时间和可达性在很大程度上随出发时间而变化。

结论和意义

在这项关于出行负担的横断面研究中,计算得出的感觉可达性得分考虑了车外出行部分(如步行和等待)的不同结果,能够更好、更真实地反映乘客的交通负担。基于传统可达性指标得出的政策建议可能会产生误导,决策者应使用能够充分反映个体出行负担的感觉可达性指标。在OTP可及性的背景下,本研究结果表明,开设新的OTP站点以解决因距离服务地点远而导致的可及性差距,或延长现有站点的运营时间,可能会减轻个体的出行负担。

https://cdn.ncbi.nlm.nih.gov/pmc/blobs/e623/10879949/6eaeff895994/jamanetwopen-e240209-g001.jpg

文献AI研究员

20分钟写一篇综述,助力文献阅读效率提升50倍。

立即体验

用中文搜PubMed

大模型驱动的PubMed中文搜索引擎

马上搜索

文档翻译

学术文献翻译模型,支持多种主流文档格式。

立即体验