Suppr超能文献

建立预测甲状腺微小乳头状癌中央区淋巴结转移的列线图。

Development of a nomogram for prediction of central lymph node metastasis of papillary thyroid microcarcinoma.

机构信息

Department of Breast and Thyroid Surgery, The Second Affiliated Hospital of Fujian Medical University, Quanzhou, China.

出版信息

BMC Cancer. 2024 Feb 20;24(1):235. doi: 10.1186/s12885-024-12004-3.

Abstract

BACKGROUND

Papillary thyroid carcinoma (PTC) is the most frequent malignant tumor in thyroid carcinoma. The aim of this study was to explore the risk factors associated with central lymph node metastasis in papillary thyroid microcarcinoma (PTMC) and establish a nomogram model that can assess the probability of central lymph node metastasis (CLNM).

METHODS

The clinicopathological data of 377 patients with cN0 PTMC were collected and analyzed from The Second Affiliated Hospital of Fujian Medical University from July 1, 2019 to December 30, 2021. All patients were examined by underwent ultrasound (US), found without metastasis to central lymph nodes, and diagnosed with PTMC through pathologic examination. All patients received thyroid lobectomy or total thyroidectomy with therapeutic or prophylactic central lymph node dissection (CLND). R software (Version 4.1.0) was employed to conduct a series of statistical analyses and establish the nomogram.

RESULTS

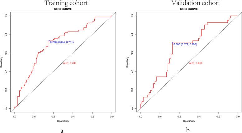
A total of 119 patients with PTMC had central lymph node metastases (31.56%). After that, age (P < 0.05), gender (P < 0.05), tumor size (P < 0.05), tumor multifocality (P < 0.05), and ultrasound imaging-suggested tumor boundaries (P < 0.05) were identified as the risk factors associated with CLNM. Subsequently, multivariate logistic regression analysis indicated that the area under the receiver operating characteristic (ROC) curve (AUC) of the training cohort was 0.703 and that of the validation cohort was 0.656, demonstrating that the prediction ability of this model is relatively good compared to existing models. The calibration curves indicated a good fit for the nomogram model. Finally, the decision curve analysis (DCA) showed that a probability threshold of 0.15-0.50 could benefit patients clinically. The probability threshold used in DCA captures the relative value the patient places on receiving treatment for the disease, if present, compared to the value of avoiding treatment if the disease is not present.

CONCLUSION

CLNM is associated with many risk factors, including age, gender, tumor size, tumor multifocality, and ultrasound imaging-suggested tumor boundaries. The nomogram established in our study has moderate predictive ability for CLNM and can be applied to the clinical management of patients with PTMC. Our findings will provide a better preoperative assessment and treatment strategies for patients with PTMC whether to undergo central lymph node dissection.

摘要

背景

甲状腺癌中最常见的恶性肿瘤是甲状腺乳头状癌(PTC)。本研究旨在探讨甲状腺微小乳头状癌(PTMC)中央区淋巴结转移的相关危险因素,并建立评估中央区淋巴结转移(CLNM)概率的列线图模型。

方法

收集 2019 年 7 月 1 日至 2021 年 12 月 30 日福建医科大学附属第二医院收治的 377 例 cN0 期 PTMC 患者的临床病理资料。所有患者均行超声(US)检查,未发现中央区淋巴结转移,并经病理检查诊断为 PTMC。所有患者均行甲状腺叶切除术或甲状腺全切除术,伴或不伴预防性中央区淋巴结清扫术(CLND)。采用 R 软件(版本 4.1.0)进行一系列统计学分析并建立列线图。

结果

共 119 例 PTMC 患者发生中央区淋巴结转移(31.56%)。进一步的单因素和多因素分析表明,年龄(P<0.05)、性别(P<0.05)、肿瘤大小(P<0.05)、肿瘤多灶性(P<0.05)和超声影像提示肿瘤边界(P<0.05)是与 CLNM 相关的危险因素。多因素 logistic 回归分析显示,训练队列的受试者工作特征(ROC)曲线下面积(AUC)为 0.703,验证队列的 AUC 为 0.656,表明与现有模型相比,该模型的预测能力相对较好。校准曲线表明该列线图模型拟合良好。最后,决策曲线分析(DCA)显示,概率阈值为 0.15-0.50 时对临床有益。DCA 中使用的概率阈值反映了患者对治疗疾病的相对价值,如果存在疾病,则与避免治疗的价值相对比。

结论

CLNM 与多种危险因素相关,包括年龄、性别、肿瘤大小、肿瘤多灶性和超声影像提示肿瘤边界。本研究建立的列线图对 CLNM 具有中等预测能力,可应用于 PTMC 患者的临床管理。本研究结果可为是否行中央区淋巴结清扫术提供更好的术前评估和治疗策略,以帮助甲状腺微小乳头状癌患者。

https://cdn.ncbi.nlm.nih.gov/pmc/blobs/dd63/10877775/3fa4f4d54361/12885_2024_12004_Fig1_HTML.jpg

文献AI研究员

20分钟写一篇综述,助力文献阅读效率提升50倍。

立即体验

用中文搜PubMed

大模型驱动的PubMed中文搜索引擎

马上搜索

文档翻译

学术文献翻译模型,支持多种主流文档格式。

立即体验