Suppr超能文献

心脏手术后肺动脉搏动指数与右心室功能的相关性

The Association of the Pulmonary Artery Pulsatility Index and Right Ventricular Function after Cardiac Surgery.

作者信息

Wei Johnny, Kee Abigail, Dukes Rachel, Franke Jack, Leonardo Vincent, Flynn Brigid C

机构信息

Department of Anesthesiology, University of Kansas Medical Center, Kansas City, KS, USA.

出版信息

Crit Care Res Pract. 2024 Feb 13;2024:5408008. doi: 10.1155/2024/5408008. eCollection 2024.

Abstract

BACKGROUND

The pulmonary artery pulsatility index (PAPi) has been shown to correlate with right ventricular (RV) failure in patients with cardiac disease. However, the association of PAPi with right ventricular function following cardiac surgery is not yet established.

METHODS

PAPi and other hemodynamic variables were obtained postoperatively for 959 adult patients undergoing cardiac surgery. The association of post-bypass right ventricular function and other clinical factors to PAPi was evaluated using linear regression. A propensity-score matched cohort for PAPi ≥ 2.00 was used to assess the association of PAPi with postoperative outcomes.

RESULTS

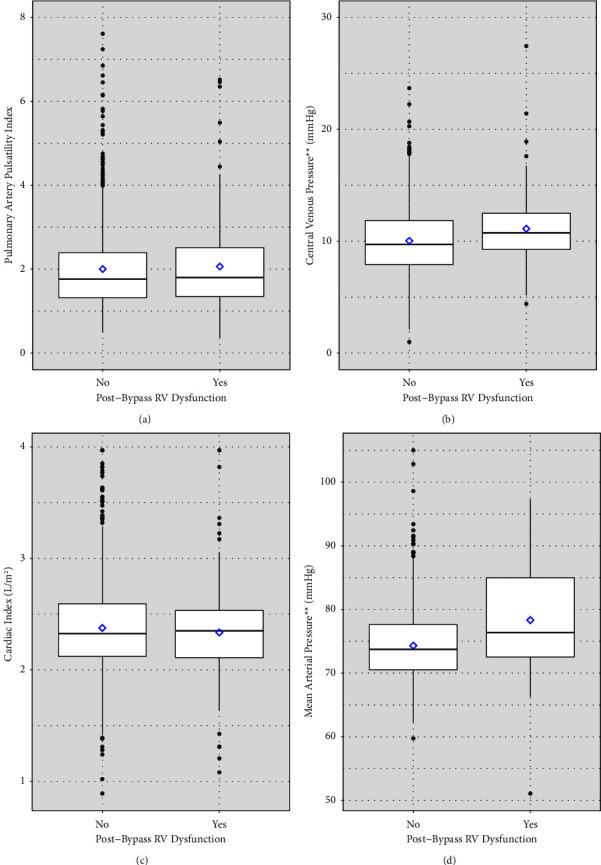
156 patients (16.3%) had post-bypass right ventricular dysfunction defined by visualization on transesophageal echocardiography. There was no difference in postoperative PAPi based on right ventricular function (2.12 vs. 2.00, =0.21). In our matched cohort ( = 636), PAPi < 2.00 was associated with increased incidence of acute kidney injury (23.0% vs 13.2%, < 0.01) and ventilator time (6.0 hours vs 5.6 hours, =0.04) but not with 30-day mortality or intensive care unit length of stay.

CONCLUSION

In a general cohort of patients undergoing cardiac surgery, postoperative PAPi was not associated with postcardiopulmonary bypass right ventricular dysfunction. A postoperative PAPi < 2 may be associated with acute kidney injury.

摘要

背景

肺动脉搏动指数(PAPi)已被证明与心脏病患者的右心室(RV)衰竭相关。然而,PAPi与心脏手术后右心室功能的关联尚未确立。

方法

对959例接受心脏手术的成年患者术后获取PAPi和其他血流动力学变量。使用线性回归评估体外循环后右心室功能及其他临床因素与PAPi的关联。对PAPi≥2.00的患者采用倾向评分匹配队列来评估PAPi与术后结局的关联。

结果

156例患者(16.3%)经食管超声心动图显示存在体外循环后右心室功能障碍。基于右心室功能的术后PAPi无差异(2.12对2.00,P = 0.21)。在我们的匹配队列(n = 636)中,PAPi < 2.00与急性肾损伤发生率增加(23.0%对13.2%,P < 0.01)和呼吸机使用时间延长(6.0小时对5.6小时,P = 0.04)相关,但与30天死亡率或重症监护病房住院时间无关。

结论

在接受心脏手术的普通患者队列中,术后PAPi与体外循环后右心室功能障碍无关。术后PAPi < 2可能与急性肾损伤相关。

https://cdn.ncbi.nlm.nih.gov/pmc/blobs/4f3e/10878756/18bcb84fd5cc/CCRP2024-5408008.001.jpg

文献AI研究员

20分钟写一篇综述,助力文献阅读效率提升50倍。

立即体验

用中文搜PubMed

大模型驱动的PubMed中文搜索引擎

马上搜索

文档翻译

学术文献翻译模型,支持多种主流文档格式。

立即体验