Suppr超能文献

津巴布韦城市中基于多替拉韦、阿扎那韦或依非韦伦的 ART 的病毒学结局:一项纵向研究。

Virologic outcomes on dolutegravir-, atazanavir-, or efavirenz-based ART in urban Zimbabwe: A longitudinal study.

机构信息

Newlands Clinic, Harare, Zimbabwe.

Institute of Social and Preventive Medicine, University of Bern, Bern, Switzerland.

出版信息

PLoS One. 2024 Feb 23;19(2):e0293162. doi: 10.1371/journal.pone.0293162. eCollection 2024.

Abstract

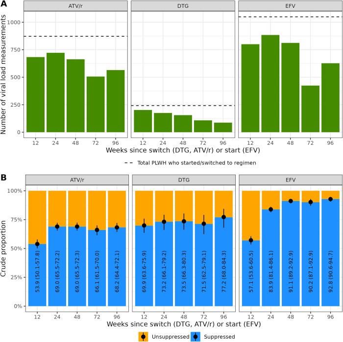
There are few data from sub-Saharan Africa on the virological outcomes associated with second-line ART based on protease inhibitors or dolutegravir (DTG). We compared viral load (VL) suppression among people living with HIV (PLWH) on atazanavir (ATV/r)- or DTG-based second-line ART with PLWH on efavirenz (EFV)-based first-line ART. We analyzed data from the electronic medical records system of Newlands Clinic in Harare, Zimbabwe. We included individuals aged ≥12 years when commencing first-line EFV-based ART or switching to second-line DTG- or ATV/r-based ART with ≥24 weeks follow-up after start or switch. We computed suppression rates (HIV VL <50 copies/mL) at weeks 12, 24, 48, 72, and 96 and estimated the probability of VL suppression by treatment regimen, time since start/switch of ART, sex, age, and CD4 cell count (at start/switch) using logistic regression in a Bayesian framework. We included 7013 VL measurements of 1049 PLWH (61% female) initiating first-line ART and 1114 PLWH (58% female) switching to second-line ART. Among those switching, 872 (78.3%) were switched to ATV/r and 242 (21.7%) to DTG. VL suppression was lower in second-line ART than first-line ART, except at week 12, when those on DTG showed higher suppression than those on EFV (aOR 2.10, 95%-credible interval [CrI] 1.48-3.00) and ATV/r-based regimens (aOR 1.87, 95%-CrI 1.32-2.71). For follow-up times exceeding 24 weeks however, first-line participants demonstrated significantly higher VL suppression than second-line, with no evidence for a difference between DTG and ATV/r. Notably, from week 48 onward, VL suppression seemed to stabilize across all regimen groups, with an estimated 89.1% (95% CrI 86.9-90.9%) VL suppression in EFV, 74.5% (95%-CrI 68.0-80.7%) in DTG, and 72.9% (95%-CrI 69.5-76.1%) in ATV/r at week 48, showing little change for longer follow-up times. Virologic monitoring and adherence support remain essential even in the DTG era to prevent second-line treatment failure in settings with limited treatment options.

摘要

撒哈拉以南非洲地区关于基于蛋白酶抑制剂或多替拉韦(DTG)的二线抗逆转录病毒治疗(ART)相关病毒学结局的数据较少。我们比较了接受阿扎那韦(ATV/r)或 DTG 为基础的二线 ART 的艾滋病毒感染者(PLWH)与接受依非韦伦(EFV)为基础的一线 ART 的 PLWH 的病毒载量(VL)抑制情况。我们分析了津巴布韦哈拉雷 Newlands 诊所电子病历系统的数据。我们纳入了开始接受一线 EFV 为基础的 ART 或转为二线 DTG 或 ATV/r 为基础的 ART 时年龄≥12 岁且开始或转换后有≥24 周随访的个体。我们计算了第 12、24、48、72 和 96 周的抑制率(HIV VL<50 拷贝/mL),并使用贝叶斯框架下的逻辑回归估计了治疗方案、ART 开始/转换后时间、性别、年龄和 CD4 细胞计数(开始/转换时)对 VL 抑制的概率。我们纳入了 7013 名开始一线 ART 的 1049 名 PLWH(61%为女性)和 1114 名转为二线 ART 的 PLWH(58%为女性)的 VL 测量值。在这些转换中,872 例(78.3%)转为 ATV/r,242 例(21.7%)转为 DTG。二线 ART 的 VL 抑制率低于一线 ART,除了第 12 周,当时 DTG 组的抑制率高于 EFV 组(优势比[OR]2.10,95%可信区间[CrI]1.48-3.00)和 ATV/r 为基础的方案(OR 1.87,95%CrI 1.32-2.71)。然而,对于随访时间超过 24 周的患者,一线治疗组的 VL 抑制率明显高于二线治疗组,DTG 和 ATV/r 之间没有差异的证据。值得注意的是,从第 48 周开始,所有方案组的 VL 抑制似乎都趋于稳定,估计第 48 周时 EFV 的 VL 抑制率为 89.1%(95%CrI 86.9-90.9%),DTG 为 74.5%(95%-CrI 68.0-80.7%),ATV/r 为 72.9%(95%-CrI 69.5-76.1%),在更长的随访时间内变化很小。即使在 DTG 时代,病毒学监测和依从性支持仍然至关重要,以防止在治疗选择有限的情况下二线治疗失败。

https://cdn.ncbi.nlm.nih.gov/pmc/blobs/b49d/10890724/b30d936fe3b7/pone.0293162.g001.jpg

文献AI研究员

20分钟写一篇综述,助力文献阅读效率提升50倍。

立即体验

用中文搜PubMed

大模型驱动的PubMed中文搜索引擎

马上搜索

文档翻译

学术文献翻译模型,支持多种主流文档格式。

立即体验