Suppr超能文献

抗真菌药物耐药性的演变趋势:一项荟萃分析。

Evolutionary trends in antifungal resistance: a meta-analysis.

机构信息

Key Laboratory of Environmental Pollution Monitoring and Disease Control, Ministry of Education of Guizhou & Key Laboratory of Microbiology and Parasitology of Education Department of Guizhou, School of Basic Medical Sciences, Guizhou Medical University, Guiyang, China.

Center of Expertise in Mycology of Radboud University Medical Center/Canisius Wilhelmina Hospital, Nijmegen, The Netherlands.

出版信息

Microbiol Spectr. 2024 Apr 2;12(4):e0212723. doi: 10.1128/spectrum.02127-23. Epub 2024 Mar 6.

Abstract

UNLABELLED

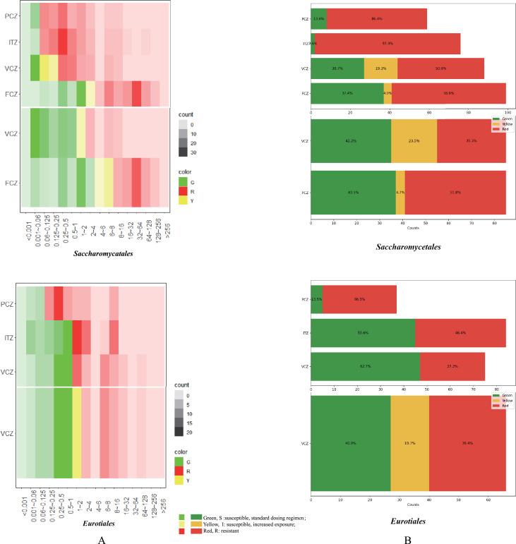
The present paper includes a meta-analysis of literature data on 318 species of fungi belonging to 34 orders in their response to 8 antifungal agents (amphotericin B, caspofungin, fluconazole, itraconazole, ketoconazole, posaconazole, terbinafine, and voriconazole). Main trends of MIC results at the ordinal level were visualized. European Committee on Antimicrobial Susceptibility Testing and Clinical & Laboratory Standards Institute (CLSI) clinical breakpoints were used as the staff gauge to evaluate MIC values ranging from resistance to susceptibility, which were subsequently compared with a phylogenetic tree of the fungal kingdom. Several orders (, and ) invariably showed resistance. Also the basidiomycetous orders , and showed relatively high degrees of azole multi-resistance, while elsewhere in the fungal kingdom, including orders with numerous pathogenic and opportunistic species, that is, , and , in general were susceptible to azoles. In most cases, resistance vs susceptibility was consistently associated with phylogenetic distance, members of the same order showing similar behavior.

IMPORTANCE

A kingdom-wide the largest set of published wild-type antifungal data comparison were analyzed. Trends in resistance in taxonomic groups (monophyletic clades) can be compared with the phylogeny of the fungal kingdom, eventual relationships between fungus-drug interaction and evolution can be described.

摘要

未加标签

本文包括对属于 34 个目的 318 种真菌的文献数据进行的荟萃分析,这些真菌对 8 种抗真菌药物(两性霉素 B、卡泊芬净、氟康唑、伊曲康唑、酮康唑、泊沙康唑、特比萘芬和伏立康唑)有反应。在目水平上,主要的 MIC 结果趋势得到了可视化。欧洲抗菌药物敏感性测试委员会(EUCAST)和临床与实验室标准化协会(CLSI)临床折点被用作评估 MIC 值的标准,这些 MIC 值范围从耐药到敏感,随后与真菌王国的系统发育树进行比较。有几个目(、和)始终表现出耐药性。担子菌门的目、和也表现出相对较高程度的唑类多耐药性,而在真菌王国的其他地方,包括有许多致病性和机会性物种的目,即、和,通常对唑类药物敏感。在大多数情况下,耐药性与敏感性与系统发育距离一致,同一目的成员表现出相似的行为。

重要性

对已发表的最大的野生型抗真菌药物数据进行了全王国范围内的比较分析。可以将分类群(单系进化枝)中的耐药趋势与真菌王国的系统发育进行比较,描述真菌-药物相互作用和进化之间的关系。

https://cdn.ncbi.nlm.nih.gov/pmc/blobs/0daa/10986544/58c50fc926c6/spectrum.02127-23.f001.jpg

文献AI研究员

20分钟写一篇综述,助力文献阅读效率提升50倍。

立即体验

用中文搜PubMed

大模型驱动的PubMed中文搜索引擎

马上搜索

文档翻译

学术文献翻译模型,支持多种主流文档格式。

立即体验