Suppr超能文献

FRB 注册研究中开始使用地塞米松或血管内皮生长因子抑制剂治疗视网膜静脉阻塞的初始反应和 12 个月结果。

Initial response and 12-month outcomes after commencing dexamethasone or vascular endothelial growth factor inhibitors for retinal vein occlusion in the FRB registry.

机构信息

Begiker-Ophthalmology Research Group, Department of Ophthalmology, Biocruces Bizkaia Health Research Institute, OSI Bilbao Basurto, Facultad de Medicina, Campus de Basurto, University of the Basque Country, UPV/EHU, Avenida Montevideo 18, 48013, Bilbao, Spain.

The Save Sight Institute, Sydney Medical School, The University of Sydney, Sydney, NSW, Australia.

出版信息

Sci Rep. 2024 Mar 13;14(1):6122. doi: 10.1038/s41598-024-56581-6.

Abstract

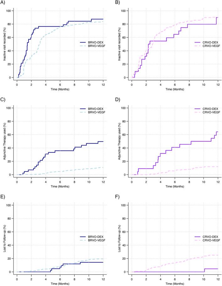
To compare baseline characteristics, initial response and 12-month efficacy and safety outcomes in eyes with branch and central retinal vein occlusion (BRVO and CRVO) treated with dexamethasone implants (DEX) or anti-vascular endothelial growth factor (anti-VEGF) we performed a multi-centre, retrospective and observational study using Fight Retinal Blindness! Registry. Of 725 eligible eyes, 10% received DEX initially with very frequent adjunctive anti-VEGF (BRVO-DEX 49%, CRVO-DEX 60%). The primary outcome of mean adjusted change in VA at 12 months with DEX and anti-VEGF initiated groups were not statistically significantly different (BRVO: DEX + 6.7, anti-VEGF + 10.6 letters; CRVO: DEX + 2.8, anti-VEGF + 6.8 letters). DEX initiated eyes had fewer injections and visits than anti-VEGF initiated eyes. The BRVO-DEX eyes had greater initial mean changes in VA and central subfield thickness (CST) and achieved inactivity sooner than BRVO-anti-VEGF eyes. The mean CST after the first three months was above 350 μm in all but the BRVO-anti-VEGF group, suggesting undertreatment. In routine care DEX is uncommonly used when available as initial treatment of BRVO and CRVO requiring supplemental anti-VEGF within the first year. The 12-month outcomes were similar, but DEX initiated eyes had fewer injections and visits but more episodes of raised IOP Vs those starting anti-VEGF.

摘要

为了比较接受地塞米松植入物(DEX)或抗血管内皮生长因子(anti-VEGF)治疗的分支和中央视网膜静脉阻塞(BRVO 和 CRVO)患者的基线特征、初始反应和 12 个月的疗效和安全性结局,我们使用 Fight Retinal Blindness! 登记处进行了一项多中心、回顾性和观察性研究。在 725 例符合条件的眼中,10%的患者最初接受 DEX 治疗,且非常频繁地辅助使用抗 VEGF(BRVO-DEX 为 49%,CRVO-DEX 为 60%)。用 DEX 和抗 VEGF 启动组的平均调整视力变化作为主要结局,在 12 个月时没有统计学显著差异(BRVO:DEX+6.7,抗 VEGF+10.6 个字母;CRVO:DEX+2.8,抗 VEGF+6.8 个字母)。与抗 VEGF 启动组相比,启动 DEX 治疗的眼的注射次数和就诊次数更少。BRVO-DEX 眼的初始 VA 和中央视网膜神经纤维层厚度(CST)变化更大,且更早达到无活动状态,而 BRVO-anti-VEGF 眼则更慢。除 BRVO-anti-VEGF 组外,所有组在首次三个月后的平均 CST 均高于 350μm,表明治疗不足。在常规护理中,DEX 很少被用作 BRVO 和 CRVO 的初始治疗,如果在第一年需要补充抗 VEGF,则选用 DEX。12 个月的结果相似,但与抗 VEGF 治疗组相比,启动 DEX 治疗的眼的注射次数和就诊次数更少,但眼压升高的次数更多。

https://cdn.ncbi.nlm.nih.gov/pmc/blobs/266f/10937938/ebad1718f14c/41598_2024_56581_Fig1_HTML.jpg

文献AI研究员

20分钟写一篇综述,助力文献阅读效率提升50倍。

立即体验

用中文搜PubMed

大模型驱动的PubMed中文搜索引擎

马上搜索

文档翻译

学术文献翻译模型,支持多种主流文档格式。

立即体验