Suppr超能文献

阿帕鲁胺治疗转移性激素敏感性前列腺癌患者的真实世界前列腺特异性抗原降低情况及生存结果:一项观察性、回顾性多中心研究。

Real-world prostate-specific antigen reduction and survival outcomes of metastatic hormone-sensitive prostate cancer patients treated with apalutamide: An observational, retrospective, and multicentre study.

作者信息

López-Abad Alicia, Ramírez Backhaus Miguel, Server Gómez Gerardo, Cao Avellaneda Enrique, Moreno Alarcón Cristóbal, López Cubillana Pedro, Yago Giménez Pablo, de Pablos Rodríguez Pedro, Juan Fita María J, Climent Durán Miguel Á, Guardiola Ruiz Iris, Vidal Crespo Natalia, Artés Artés Miriam, Montoya Chinchilla Raúl, Moreno Avilés Juan, Guzmán Martínez-Valls Pablo L, López González Pedro Á

机构信息

Department of Urology, Virgen de la Arrixaca Hospital, Murcia, Spain.

Department of Urology, Instituto Valenciano de Oncología (IVO), Valencia, Spain.

出版信息

Prostate Int. 2024 Mar;12(1):20-26. doi: 10.1016/j.prnil.2023.10.003. Epub 2023 Nov 2.

Abstract

BACKGROUND

Metastatic hormone-sensitive prostate cancer (mHSPC) treatment has changed drastically during the last years with the emergence of androgen receptor-targeted agents (ARTAs). ARTA combined with androgen deprivation therapy has demonstrated better oncological and survival outcomes in these patients. However, the optimal choice among different ARTAs remains uncertain due to their analogous efficacy.

OBJECTIVES

The objective of this study was to describe prostate-specific antigen (PSA) response and oncological outcomes of patients with mHSPC treated with apalutamide.

MATERIAL AND METHODS

Medical records from three different hospitals in Spain were used to conduct this study. Patients diagnosed with mHSPC and under apalutamide treatment were included between March 2021 and January 2023. Data regarding PSA response, overall survival (OS), and radiographic progression-free survival (rPFS) were collected and stratified by metastasis volume, timing, and stating.

RESULTS

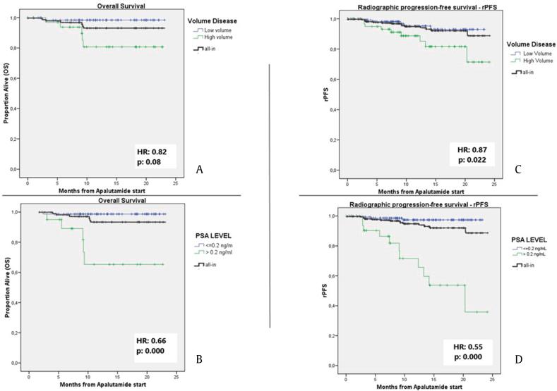
193 patients were included; 34.2% of patients were mHSPC, and the majority was classified as m1b. The 18-month OS and rPFS were 92.5% and 88.9%, respectively. Patients with PSA levels ≤0.2 ng/ml showcased an 18-month OS rate of 98.7%, contrasting with 65.3% for those with PSA >0.2 ng/ml. Similar trends emerged for rPFS (97.4% and 53.7%, respectively). When differentiating between low-volume and high-volume metastasis, the OS rate stood at 98.4% and 80.7%, respectively, while the rPFS rates were 93% and 81.6%, respectively. No significant differences were found between groups stratified by metastasis timing.

CONCLUSION

This real-world study on patients with mHSPC treated with apalutamide plus androgen deprivation therapy revealed robust oncological outcomes, aligning with the emerging evidence. The study's hallmark finding highlights the significance of rapid and deep PSA response as a predictor of improved oncological and survival outcomes.

摘要

背景

在过去几年中,随着雄激素受体靶向药物(ARTAs)的出现,转移性激素敏感性前列腺癌(mHSPC)的治疗发生了巨大变化。ARTAs联合雄激素剥夺疗法已在这些患者中显示出更好的肿瘤学和生存结果。然而,由于不同ARTAs疗效相似,其最佳选择仍不确定。

目的

本研究的目的是描述接受阿帕他胺治疗的mHSPC患者的前列腺特异性抗原(PSA)反应和肿瘤学结果。

材料和方法

使用西班牙三家不同医院的病历进行本研究。2021年3月至2023年1月期间纳入诊断为mHSPC并接受阿帕他胺治疗的患者。收集有关PSA反应、总生存期(OS)和影像学无进展生存期(rPFS)的数据,并按转移体积、时间和分期进行分层。

结果

纳入193例患者;34.2%的患者为mHSPC,大多数被分类为m1b。18个月的OS和rPFS分别为92.5%和88.9%。PSA水平≤0.2 ng/ml的患者18个月OS率为98.7%,而PSA>0.2 ng/ml的患者为65.3%。rPFS也出现类似趋势(分别为97.4%和53.7%)。在区分低体积和高体积转移时,OS率分别为98.4%和80.7%,而rPFS率分别为93%和81.6%。按转移时间分层的组间未发现显著差异。

结论

这项关于接受阿帕他胺联合雄激素剥夺疗法治疗的mHSPC患者的真实世界研究显示了良好的肿瘤学结果,与新出现的证据一致。该研究的标志性发现突出了快速且深度的PSA反应作为改善肿瘤学和生存结果预测指标的重要性。

https://cdn.ncbi.nlm.nih.gov/pmc/blobs/9a66/10960092/404efc700716/gr1.jpg

文献AI研究员

20分钟写一篇综述,助力文献阅读效率提升50倍。

立即体验

用中文搜PubMed

大模型驱动的PubMed中文搜索引擎

马上搜索

文档翻译

学术文献翻译模型,支持多种主流文档格式。

立即体验