Suppr超能文献

通过金属评估对欧洲西南部高度人为化地区阿尔赫西拉斯湾的生态状况进行研究——第一部分:非生物样本

Ecological Status of Algeciras Bay, in a Highly Anthropised Area in South-West Europe, through Metal Assessment-Part I: Abiotic Samples.

作者信息

Casanueva-Marenco María José, Galindo-Riaño María Dolores, Granado-Castro María Dolores, Díaz-de-Alba Margarita

机构信息

Department of Analytical Chemistry, Institute of Biomolecules (INBIO), Faculty of Sciences, International Campus of Excellence of the Sea (CEI-MAR), University of Cadiz, Campus Rio San Pedro, 11510 Puerto Real, Cadiz, Spain.

出版信息

Toxics. 2024 Feb 20;12(3):163. doi: 10.3390/toxics12030163.

Abstract

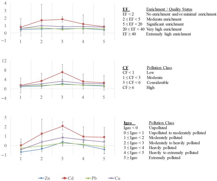
The ecological status of Algeciras Bay (South-west Europe), highly influenced by anthropogenic activities, was assessed by monitoring Zn, Cd, Pb, and Cu in water and sediment samples. Total contents and metal fractions with different availabilities and their spatial-seasonal distribution were determined. The trend in water and sediment contents were Zn > Pb ≈ Cu > Cd, without significant seasonal variations. Sites 3 and 4, closest to industrial activities, had the highest metal concentrations, mainly in sediments. Cd showed low partition coefficient in water, indicating higher bioavailability. Total metal content in sediments exceeded the threshold effect level for Cu and were close to Pb. The BCR procedure revealed the highest availabilities for Cd and Pb, due to its higher content in exchangeable and reducible fractions. Higher Pb levels (21.4 ± 5.1 mg/kg) were found in sediments of this bay compared with other ecosystems. Pollution indexes for sediment quality revealed that site 3 was the most polluted (CF = 7.12 and I = 2.25). For an integrative study of the ecological status of this significant bay, these results have been complemented with the metal evaluation in benthic and benthopelagic fish tissues in -.

摘要

阿尔赫西拉斯湾(欧洲西南部)的生态状况受人为活动影响很大,通过监测水和沉积物样本中的锌、镉、铅和铜来进行评估。测定了总含量以及具有不同有效性的金属组分及其空间 - 季节分布。水和沉积物中的含量趋势为锌>铅≈铜>镉,无明显季节变化。最靠近工业活动的3号和4号站点金属浓度最高,主要存在于沉积物中。镉在水中的分配系数较低,表明其生物有效性较高。沉积物中的总金属含量超过了铜的阈值效应水平,且接近铅的阈值效应水平。BCR程序显示镉和铅的有效性最高,因为其在可交换和可还原组分中的含量较高。与其他生态系统相比,该湾沉积物中的铅含量更高(21.4±5.1毫克/千克)。沉积物质量污染指数显示3号站点污染最严重(CF = 7.12,I = 2.25)。为了对这个重要海湾的生态状况进行综合研究,这些结果已通过对底栖和底栖上层鱼类组织中的金属评估得到补充。

https://cdn.ncbi.nlm.nih.gov/pmc/blobs/780c/10974433/61d3bb941267/toxics-12-00163-g001.jpg

文献AI研究员

20分钟写一篇综述,助力文献阅读效率提升50倍。

立即体验

用中文搜PubMed

大模型驱动的PubMed中文搜索引擎

马上搜索

文档翻译

学术文献翻译模型,支持多种主流文档格式。

立即体验