Suppr超能文献

米兰评分:一种用于更有效地诊断胃食管反流病的新型测压工具。

The Milan score: A novel manometric tool for a more efficient diagnosis of gastro-esophageal reflux disease.

机构信息

Division of General and Emergency Surgery, IRCCS Policlinico San Donato, Milano, Italy.

Upper-GI-Service, Medizinische Universität, Wien, Austria.

出版信息

United European Gastroenterol J. 2024 Jun;12(5):552-561. doi: 10.1002/ueg2.12565. Epub 2024 Mar 27.

Abstract

OBJECTIVE

A definitive diagnosis of gastroesophageal reflux disease (GERD) depends on endoscopic and/or pH-study criteria. However, high resolution manometry (HRM) can identify factors predicting GERD, such as ineffective esophageal motility (IEM), esophago-gastric junction contractile integral (EGJ-CI), evaluating esophagogastric junction (EGJ) type and straight leg raise (SLR) maneuver response. We aimed to build and externally validate a manometric score (Milan Score) to stratify the risk and severity of the disease in patients undergoing HRM for suspected GERD.

METHODS

A population of 295 consecutive patients undergoing HRM and pH-study for persistent typical or atypical GERD symptoms was prospectively enrolled to build a model and a nomogram that provides a risk score for AET > 6%. Collected HRM data included IEM, EGJ-CI, EGJ type and SLR. A supplemental cohort of patients undergoing HRM and pH-study was also prospectively enrolled in 13 high-volume esophageal function laboratories across the world in order to validate the model. Discrimination and calibration were used to assess model's accuracy. Gastroesophageal reflux disease was defined as acid exposure time >6%.

RESULTS

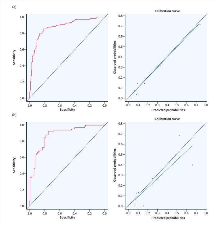
Out of the analyzed variables, SLR response and EGJ subtype 3 had the highest impact on the score (odd ratio 18.20 and 3.87, respectively). The external validation cohort consisted of 233 patients. In the validation model, the corrected Harrel c-index was 0.90. The model-fitting optimism adjusted calibration slope was 0.93 and the integrated calibration index was 0.07, indicating good calibration.

CONCLUSIONS

A novel HRM score for GERD diagnosis has been created and validated. The MS might be a useful screening tool to stratify the risk and the severity of GERD, allowing a more comprehensive pathophysiologic assessment of the anti-reflux barrier.

TRIAL REGISTRATION

ClinicalTrials.gov (Identifier: NCT05851482).

摘要

目的

胃食管反流病(GERD)的明确诊断取决于内镜和/或 pH 研究标准。然而,高分辨率测压(HRM)可以识别预测 GERD 的因素,如无效食管蠕动(IEM)、食管胃结合部收缩积分(EGJ-CI),评估食管胃结合部(EGJ)类型和直腿抬高(SLR)动作反应。我们旨在建立和外部验证一种测压评分(米兰评分),以分层 HRM 怀疑 GERD 患者的疾病风险和严重程度。

方法

对 295 例连续接受 HRM 和 pH 研究以评估持续性典型或非典型 GERD 症状的患者进行前瞻性登记,以建立模型和列线图,提供 AET>6%的风险评分。收集的 HRM 数据包括 IEM、EGJ-CI、EGJ 类型和 SLR。还在全球 13 个大容量食管功能实验室前瞻性登记了接受 HRM 和 pH 研究的补充队列,以验证模型。使用判别和校准来评估模型的准确性。胃食管反流病定义为酸暴露时间>6%。

结果

在分析的变量中,SLR 反应和 EGJ 亚型 3 对评分的影响最大(比值比分别为 18.20 和 3.87)。验证队列由 233 例患者组成。在验证模型中,校正的 Harrel c 指数为 0.90。模型拟合优度调整校准斜率为 0.93,综合校准指数为 0.07,表明校准良好。

结论

已经创建和验证了一种用于 GERD 诊断的新型 HRM 评分。MS 可能是一种有用的筛查工具,可用于分层 GERD 的风险和严重程度,从而更全面地评估抗反流屏障的病理生理学。

试验注册

ClinicalTrials.gov(标识符:NCT05851482)。

https://cdn.ncbi.nlm.nih.gov/pmc/blobs/bb6b/11176912/ea0cbc0958f3/UEG2-12-552-g003.jpg

文献AI研究员

20分钟写一篇综述,助力文献阅读效率提升50倍。

立即体验

用中文搜PubMed

大模型驱动的PubMed中文搜索引擎

马上搜索

文档翻译

学术文献翻译模型,支持多种主流文档格式。

立即体验