Suppr超能文献

3D打印技术制造的聚乳酸吸音板声学特性研究:喷嘴直径和内部结构的影响

Investigation into the Acoustic Properties of Polylactic Acid Sound-Absorbing Panels Manufactured by 3D Printing Technology: The Influence of Nozzle Diameters and Internal Configurations.

作者信息

Matei Simona, Pop Mihai Alin, Zaharia Sebastian-Marian, Coșniță Mihaela, Croitoru Cătălin, Spîrchez Cosmin, Cazan Cristina

机构信息

Department of Materials Science, Transilvania University of Brasov, 500036 Brasov, Romania.

Department of Manufacturing Engineering, Transilvania University of Brasov, 500036 Brasov, Romania.

出版信息

Materials (Basel). 2024 Jan 25;17(3):580. doi: 10.3390/ma17030580.

Abstract

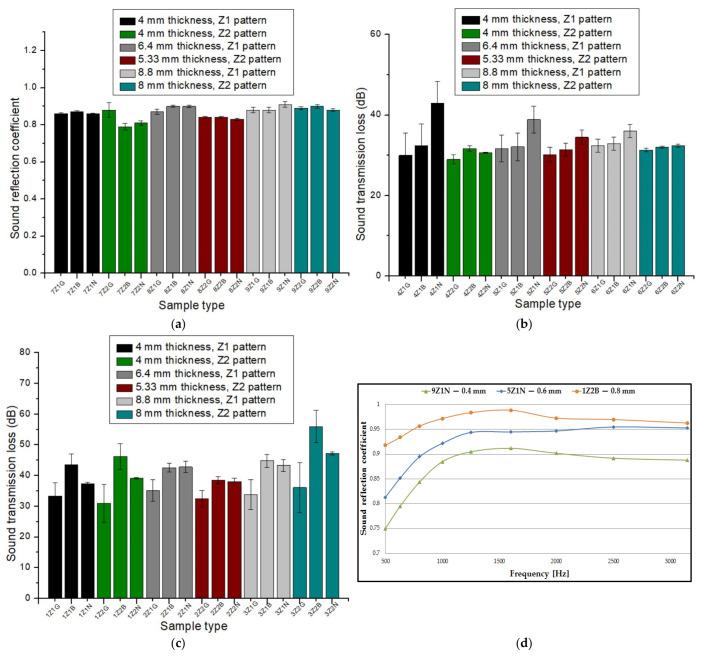
Sound-absorbing panels are widely used in the acoustic design of aircraft parts, buildings and vehicles as well as in sound insulation and absorption in areas with heavy traffic. This paper studied the acoustic properties of sound-absorbing panels manufactured with three nozzle diameters (0.4 mm, 0.6 mm and 0.8 mm) by 3D printing from three types of polylactic acid filaments (Grey Tough PLA; Black PLA Pro; Natural PLA) and with six internal configurations with labyrinthine zigzag channels (Z1 and Z2). The absorption coefficient of the sample with the Z2 pattern, a 5.33 mm height, a 0.6 mm nozzle diameter and with Black PLA Pro showed the maximum value (α = 0.93) for the nozzle diameter of 0.6 mm. Next in position were the three samples with the Z1 pattern (4 mm height) made from all three materials used and printed with a nozzle diameter of 0.4 mm with a sound absorption coefficient value (α = 0.91) at 500 Hz. The highest value of the sound transmission loss (56 dB) was found for the sample printed with a nozzle size of 0.8 mm with the Z2 pattern (8 mm height) and with Black PLA Pro. The extruded material, the nozzle diameter and the internal configuration had a significant impact on the acoustic performance of the 3D-printed samples.

摘要

吸音板广泛应用于飞机部件、建筑物和车辆的声学设计,以及交通繁忙地区的隔音和吸音。本文研究了用三种喷嘴直径(0.4毫米、0.6毫米和0.8毫米)通过3D打印由三种聚乳酸长丝(灰色坚韧聚乳酸;黑色聚乳酸专业版;天然聚乳酸)制造的吸音板的声学性能,以及具有迷宫式曲折通道(Z1和Z2)的六种内部结构。对于0.6毫米的喷嘴直径,具有Z2图案、高度为5.33毫米、喷嘴直径为0.6毫米且使用黑色聚乳酸专业版的样品的吸声系数显示出最大值(α = 0.93)。接下来是由所有三种使用的材料制成、喷嘴直径为0.4毫米、高度为4毫米的具有Z1图案的三个样品,其在500赫兹时的吸声系数值为(α = 0.91)。对于喷嘴尺寸为0.8毫米、具有Z2图案(高度为8毫米)且使用黑色聚乳酸专业版的样品,发现其传声损失的最高值为56分贝。挤出材料、喷嘴直径和内部结构对3D打印样品的声学性能有显著影响。

https://cdn.ncbi.nlm.nih.gov/pmc/blobs/2eda/10856160/eba308f7be3c/materials-17-00580-g001.jpg

文献AI研究员

20分钟写一篇综述,助力文献阅读效率提升50倍。

立即体验

用中文搜PubMed

大模型驱动的PubMed中文搜索引擎

马上搜索

文档翻译

学术文献翻译模型,支持多种主流文档格式。

立即体验