Suppr超能文献

外源24-表油菜素内酯增强了藜麦的耐旱性并促进了油菜素内酯不敏感2基因的表达。

Exogenous 24-Epibrassinolide Enhanced Drought Tolerance and Promoted BRASSINOSTEROID-INSENSITIVE2 Expression of Quinoa.

作者信息

Zhou Ya-Li, You Xin-Yong, Wang Xing-Yun, Cui Li-Hua, Jiang Zhi-Hui, Zhang Kun-Peng

机构信息

College of Biological and Food Engineering, Anyang Institute of Technology, Anyang 455000, China.

College of Mechanical and Electronic Engineering, Northwest A&F University, Yangling 712100, China.

出版信息

Plants (Basel). 2024 Mar 18;13(6):873. doi: 10.3390/plants13060873.

Abstract

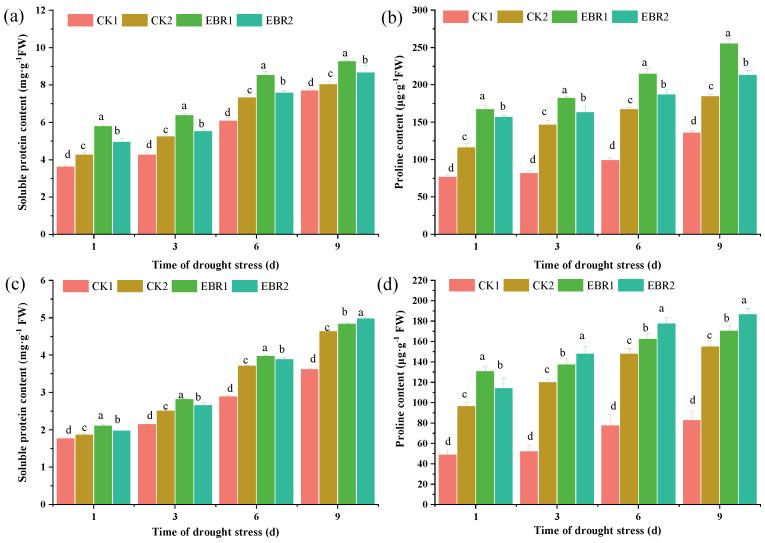
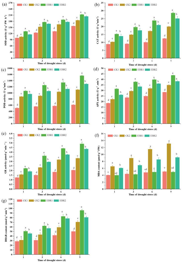
Brassinosteroids (BRs) are involved in the regulation of biotic and abiotic stresses in plants. The molecular mechanisms of BRs that alleviate the drought stress in quinoa have rarely been reported. Here, quinoa seedlings were treated with 24-epibrassinolide (EBR) and we transiently transferred to the quinoa seedlings' leaves using VIGS technology to analyze the molecular mechanism of the BR mitigation drought stress. The results showed that EBR treatment significantly increased the root growth parameters, the antioxidant enzyme activities, and the osmolyte content, resulting in a decrease in the HO, O2∙-, and malondialdehyde content in quinoa. A transcriptome analysis identified 8124, 2761, and 5448 differentially expressed genes (DEGs) among CK and Drought, CK and EBR + Drought, and Drought and EBR + Drought groups. WGCNA divided these DEGs into 19 modules in which these characterized genes collectively contributed significantly to drought stress. In addition, the EBR application also up-regulated the transcript levels of and proline biosynthesis genes. Silenced by VIGS could reduce the drought tolerance, survival rate, and proline content in quinoa seedlings. These findings not only revealed that exogenous BRs enhance drought tolerance, but also provided insight into the novel functions of involved in regulating drought tolerance in plants.

摘要

油菜素类固醇(BRs)参与植物生物和非生物胁迫的调控。关于BRs缓解藜麦干旱胁迫的分子机制鲜有报道。在此,用24-表油菜素内酯(EBR)处理藜麦幼苗,并利用病毒诱导基因沉默(VIGS)技术将其瞬时导入藜麦幼苗叶片,以分析BR缓解干旱胁迫的分子机制。结果表明,EBR处理显著增加了藜麦的根系生长参数、抗氧化酶活性和渗透调节物质含量,导致藜麦中过氧化氢(HO)、超氧阴离子(O2∙-)和丙二醛含量降低。转录组分析在对照(CK)与干旱、CK与EBR + 干旱、干旱与EBR + 干旱组中分别鉴定出8124、2761和5448个差异表达基因(DEGs)。加权基因共表达网络分析(WGCNA)将这些DEGs分为19个模块,其中这些特征基因共同对干旱胁迫有显著贡献。此外,施用EBR还上调了[具体基因名称未给出]和脯氨酸生物合成基因的转录水平。通过VIGS沉默[具体基因名称未给出]可降低藜麦幼苗的耐旱性、存活率和脯氨酸含量。这些发现不仅揭示了外源BRs增强耐旱性,还为[具体基因名称未给出]在调节植物耐旱性中的新功能提供了见解。

https://cdn.ncbi.nlm.nih.gov/pmc/blobs/f01d/10974127/958c4d3d20e5/plants-13-00873-g001.jpg

文献AI研究员

20分钟写一篇综述,助力文献阅读效率提升50倍。

立即体验

用中文搜PubMed

大模型驱动的PubMed中文搜索引擎

马上搜索

文档翻译

学术文献翻译模型,支持多种主流文档格式。

立即体验