Suppr超能文献

肌萎缩性侧索硬化症病理变异型 R495X 异常融合肉瘤液滴,加速液-固相变。

An aberrant fused in sarcoma liquid droplet of amyotrophic lateral sclerosis pathological variant, R495X, accelerates liquid-solid phase transition.

机构信息

Graduate School of Pharmacy, Ritsumeikan University, 1-1-1 Nojihigashi, Kusatsu, Shiga, 525-8577, Japan.

College of Pharmaceutical Sciences, Ritsumeikan University, 1-1-1 Nojihigashi, Kusatsu, Shiga, 525-8577, Japan.

出版信息

Sci Rep. 2024 Apr 17;14(1):8914. doi: 10.1038/s41598-024-59604-4.

Abstract

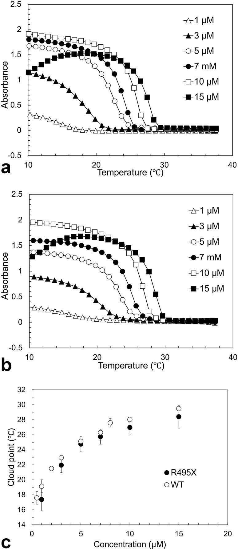
Intracellular aggregation of fused in sarcoma (FUS) is associated with the pathogenesis of familial amyotrophic lateral sclerosis (ALS). Under stress, FUS forms liquid droplets via liquid-liquid phase separation (LLPS). Two types of wild-type FUS LLPS exist in equilibrium: low-pressure LLPS (LP-LLPS) and high-pressure LLPS (HP-LLPS); the former dominates below 2 kbar and the latter over 2 kbar. Although several disease-type FUS variants have been identified, the molecular mechanism underlying accelerated cytoplasmic granule formation in ALS patients remains poorly understood. Herein, we report the reversible formation of the two LLPS states and the irreversible liquid-solid transition, namely droplet aging, of the ALS patient-type FUS variant R495X using fluorescence microscopy and ultraviolet-visible absorption spectroscopy combined with perturbations in pressure and temperature. Liquid-to-solid phase transition was accelerated in the HP-LLPS of R495X than in the wild-type variant; arginine slowed the aging of droplets at atmospheric conditions by inhibiting the formation of HP-LLPS more selectively compared to that of LP-LLPS. Our findings provide new insight into the mechanism by which R495X readily forms cytoplasmic aggregates. Targeting the aberrantly formed liquid droplets (the HP-LLPS state) of proteins with minimal impact on physiological functions could be a novel therapeutic strategy for LLPS-mediated protein diseases.

摘要

融合肉瘤(FUS)的细胞内聚集与家族性肌萎缩侧索硬化症(ALS)的发病机制有关。在应激下,FUS 通过液-液相分离(LLPS)形成液滴。存在两种类型的野生型 FUS LLPS 处于平衡状态:低压 LLPS(LP-LLPS)和高压 LLPS(HP-LLPS);前者在 2 千巴以下占主导地位,后者在 2 千巴以上占主导地位。尽管已经鉴定出几种疾病型 FUS 变体,但 ALS 患者细胞质颗粒形成加速的分子机制仍知之甚少。本文通过荧光显微镜和紫外-可见吸收光谱结合压力和温度的变化,报告了 ALS 患者型 FUS 变体 R495X 的两种 LLPS 状态的可逆形成以及不可逆的液-固转变,即液滴老化。与野生型变体相比,R495X 的 HP-LLPS 中发生了更快的液-固相变;与 LP-LLPS 相比,精氨酸更选择性地抑制 HP-LLPS 的形成,从而减缓了大气条件下液滴的老化。我们的发现为 R495X 易于形成细胞质聚集体的机制提供了新的见解。针对具有最小生理功能影响的异常形成的液滴(HP-LLPS 状态)可能是一种针对 LLPS 介导的蛋白质疾病的新型治疗策略。

https://cdn.ncbi.nlm.nih.gov/pmc/blobs/9312/11024109/3f3866c017fe/41598_2024_59604_Fig1_HTML.jpg

文献AI研究员

20分钟写一篇综述,助力文献阅读效率提升50倍。

立即体验

用中文搜PubMed

大模型驱动的PubMed中文搜索引擎

马上搜索

文档翻译

学术文献翻译模型,支持多种主流文档格式。

立即体验