Suppr超能文献

全身炎症指标与慢性肾脏病生存之间的关联:一项基于美国国家健康与营养检查调查(NHANES)的前瞻性研究

Association between systemic inflammatory indicators with the survival of chronic kidney disease: a prospective study based on NHANES.

作者信息

Chen Yuan, Nie Yanfang, Wu Jiaying, Li Chunsheng, Zheng Lu, Zhu Bixiu, Min Yu, Ling Tao, Liu Xiaozhu

机构信息

Department of Nephrology, Taizhou Central Hospital (Taizhou University Hospital), Taizhou, Zhejiang, China.

Department of Biotherapy and National Clinical Research Center for Geriatrics, Cancer Center, West China Hospital, Sichuan University, Sichuan, China.

出版信息

Front Immunol. 2024 Apr 8;15:1365591. doi: 10.3389/fimmu.2024.1365591. eCollection 2024.

Abstract

BACKGROUND

systemic inflammation disorders were observed in chronic kidney disease (CKD). Whether the systemic inflammatory indicators could be optimal predictors for the survival of CKD remains less studied.

METHODS

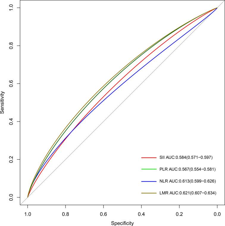
In this study, participants were selected from the datasets of the National Health and Nutrition Examination Survey (NHANES) between 1999 to 2018 years. Four systemic inflammatory indicators were evaluated by the peripheral blood tests including systemic immune-inflammation index (SII, platelet*neutrophil/lymphocyte), neutrophil-to-lymphocyte ratio (NLR), platelet-to-lymphocyte ratio (PLR), lymphocyte-to-monocyte ratio (LMR). Kaplan-Meier curves, restricted cubic spline (RCS), and Cox regression analysis were used to evaluate the association between the inflammatory index with the all-cause mortality of CKD. Receiver operating characteristic (ROC) and concordance index (C-index) were used to determine the predictive accuracy of varied systemic inflammatory indicators. Sensitive analyses were conducted to validate the robustness of the main findings.

RESULTS

A total of 6,880 participants were included in this study. The mean age was 67.03 years old. Among the study population, the mean levels of systemic inflammatory indicators were 588.35 in SII, 2.45 in NLR, 133.85 in PLR, and 3.76 in LMR, respectively. The systemic inflammatory indicators of SII, NLR, and PLR were all significantly positively associated with the all-cause mortality of CKD patients, whereas the high value of LMR played a protectable role in CKD patients. NLR and LMR were the leading predictors in the survival of CKD patients [Hazard ratio (HR) =1.21, 95% confidence interval (CI): 1.07-1.36, p = 0.003 (3 quartile), HR = 1.52, 95%CI: 1.35-1.72, p<0.001 (4 quartile) in NLR, and HR = 0.83, 95%CI: 0.75-0.92, p<0.001 (2 quartile), HR = 0.73, 95%CI: 0.65-0.82, p<0.001 (3 quartile), and = 0.74, 95%CI: 0.65-0.83, p<0.001 (4 quartile) in LMR], with a C-index of 0.612 and 0.624, respectively. The RCS curves showed non-linearity between systemic inflammatory indicators and all-cause mortality risk of the CKD population.

CONCLUSION

Our study highlights that systemic inflammatory indicators are important for predicting the survival of the U.S. population with CKD. The systemic inflammatory indicators would add additional clinical value to the health care of the CKD population.

摘要

背景

慢性肾脏病(CKD)患者中存在全身炎症紊乱。全身炎症指标能否作为CKD患者生存的最佳预测指标,相关研究较少。

方法

本研究选取了1999年至2018年美国国家健康与营养检查调查(NHANES)数据集的参与者。通过外周血检测评估四项全身炎症指标,包括全身免疫炎症指数(SII,血小板×中性粒细胞/淋巴细胞)、中性粒细胞与淋巴细胞比值(NLR)、血小板与淋巴细胞比值(PLR)、淋巴细胞与单核细胞比值(LMR)。采用Kaplan-Meier曲线、限制立方样条(RCS)和Cox回归分析评估炎症指标与CKD全因死亡率之间的关联。采用受试者工作特征(ROC)曲线和一致性指数(C指数)确定不同全身炎症指标的预测准确性。进行敏感性分析以验证主要研究结果的稳健性。

结果

本研究共纳入6880名参与者,平均年龄为67.03岁。在研究人群中,全身炎症指标的平均水平分别为:SII为588.35、NLR为2.45、PLR为133.85、LMR为3.76。SII、NLR和PLR全身炎症指标均与CKD患者的全因死亡率显著正相关,而高值LMR对CKD患者具有保护作用。NLR和LMR是CKD患者生存的主要预测指标[NLR的风险比(HR)=1.21,95%置信区间(CI):1.07-1.36,p = 0.003(第3四分位数),HR = 1.52,95%CI:1.35-1.72,p<0.001(第4四分位数);LMR的HR = 0.83,95%CI:0.75-0.92,p<0.001(第2四分位数),HR = 0.73,95%CI:0.65-0.82,p<0.001(第3四分位数),HR = 0.74,95%CI:0.65-0.83,p<0.001(第4四分位数)],C指数分别为0.612和0.624。RCS曲线显示全身炎症指标与CKD人群全因死亡风险之间存在非线性关系。

结论

我们的研究强调全身炎症指标对预测美国CKD人群的生存具有重要意义。全身炎症指标可为CKD人群的医疗保健增加额外的临床价值。

https://cdn.ncbi.nlm.nih.gov/pmc/blobs/6d47/11033417/05379ed1c83c/fimmu-15-1365591-g001.jpg

文献AI研究员

20分钟写一篇综述,助力文献阅读效率提升50倍。

立即体验

用中文搜PubMed

大模型驱动的PubMed中文搜索引擎

马上搜索

文档翻译

学术文献翻译模型,支持多种主流文档格式。

立即体验