Suppr超能文献

探索环氧化合物开环反应在生物碱和萜类化合物合成中的合成潜力:综述

Exploring the synthetic potential of epoxide ring opening reactions toward the synthesis of alkaloids and terpenoids: a review.

作者信息

Hanif Madiha, Zahoor Ameer Fawad, Saif Muhammad Jawwad, Nazeer Usman, Ali Kulsoom Ghulam, Parveen Bushra, Mansha Asim, Chaudhry Aijaz Rasool, Irfan Ahmad

机构信息

Department of Chemistry, Government College University Faisalabad 38000-Faisalabad Pakistan

Department of Applied Chemistry, Government College University Faisalabad 38000-Faisalabad Pakistan.

出版信息

RSC Adv. 2024 Apr 23;14(19):13100-13128. doi: 10.1039/d4ra01834f. eCollection 2024 Apr 22.

Abstract

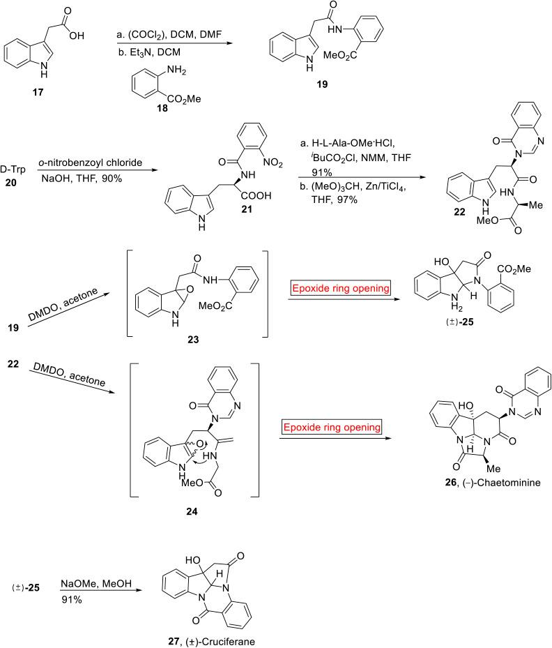
Epoxides are oxygen containing heterocycles which are significantly employed as crucial intermediates in various organic transformations. They are considered highly reactive three-membered heterocycles due to ring strain and they undergo epoxide ring opening reactions with diverse range of nucleophiles. Epoxide ring-opening reactions have gained prominence as flexible and effective means to obtain various functionalized molecules. These reactions have garnered substantial attention in organic synthesis, driven by the need to comprehend the synthesis of biologically and structurally important organic compounds. They have also found applications in the synthesis of complex natural products. In this review article, we have summarized the implementation of epoxide ring opening reactions in the synthesis of alkaloids and terpenoids based natural products reported within the last decade (2014-2023).

摘要

环氧化合物是含氧杂环化合物,在各种有机转化中被大量用作关键中间体。由于环张力,它们被认为是高反应性的三元杂环化合物,并且能与多种亲核试剂发生环氧开环反应。环氧开环反应作为获得各种功能化分子的灵活且有效的方法而备受关注。由于需要理解具有生物学和结构重要性的有机化合物的合成,这些反应在有机合成中得到了广泛关注。它们还在复杂天然产物的合成中得到了应用。在这篇综述文章中,我们总结了过去十年(2014 - 2023年)报道的基于生物碱和萜类天然产物合成中环氧开环反应的应用情况。

https://cdn.ncbi.nlm.nih.gov/pmc/blobs/5c3a/11036177/4ef5ed6b11a7/d4ra01834f-f1.jpg

文献AI研究员

20分钟写一篇综述,助力文献阅读效率提升50倍。

立即体验

用中文搜PubMed

大模型驱动的PubMed中文搜索引擎

马上搜索

文档翻译

学术文献翻译模型,支持多种主流文档格式。

立即体验