Suppr超能文献

合成酚类、邻苯二甲酸盐与胎盘生长/功能之间的关联:一项在孕早期进行暴露评估的纵向队列研究。

Associations between synthetic phenols, phthalates, and placental growth/function: a longitudinal cohort with exposure assessment in early pregnancy.

作者信息

Jovanovic Nicolas, Mustieles Vicente, Althuser Marc, Lyon-Caen Sarah, Alfaidy Nadia, Thomsen Cathrine, Sakhi Amrit Kaur, Sabaredzovic Azemira, Bayat Sam, Couturier-Tarrade Anne, Slama Rémy, Philippat Claire

机构信息

University Grenoble Alpes, Inserm U1209, CNRS UMR 5309, Team of Environmental Epidemiology Applied to Reproduction and Respiratory Health, Institute for Advanced Biosciences, Grenoble, France.

Instituto de Investigación Biosanitaria (ibs. GRANADA), Granada, Spain.

出版信息

Hum Reprod Open. 2024 Apr 1;2024(2):hoae018. doi: 10.1093/hropen/hoae018. eCollection 2024.

Abstract

STUDY QUESTION

Is exposure to environmental chemicals associated with modifications of placental morphology and function?

SUMMARY ANSWER

Phthalates, a class of ubiquitous chemicals, showed an association with altered placental weight, placental vascular resistance (PVR), and placental efficiency.

WHAT IS KNOWN ALREADY

Only a few epidemiological studies have assessed the effects of phenols and phthalates on placental health. Their results were affected by exposure measurement errors linked to the rapid excretion of these compounds and the reliance on a limited number of spot urine samples to assess exposure.

STUDY DESIGN SIZE DURATION

A prospective mother-child cohort, with improved exposure assessment for non-persistent chemicals, recruited participants between 2014 and 2017. Sample size ranged between 355 (placental parameters measured at birth: placental weight and placental-to-fetal weight ratio (PFR): a proxy for placental efficiency) and 426 (placental parameters measured during pregnancy: placental thickness and vascular resistance).

PARTICIPANTS/MATERIALS SETTING METHODS: Phenols (four parabens, two bisphenols, triclosan, and benzophenone-3), 13 phthalate metabolites, and two non-phthalate plasticizer metabolites were measured in within-subject pools of repeated urine samples collected during the second and third trimesters of pregnancy (median = 21 samples/trimester/woman). Placental thickness and PVR were measured during pregnancy. The placenta was weighed at birth and the PFR was computed. Both adjusted linear regression and Bayesian Kernel Machine Regression were used to evaluate associations between phenols and phthalates (alone or as a mixture) and placental parameters. Effect modification by child sex was also investigated.

MAIN RESULTS AND THE ROLE OF CHANCE

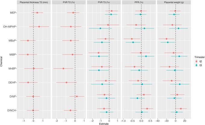
Several phthalate metabolites were negatively associated with placental outcomes. Monobenzyl phthalate (MBzP) concentrations, during the second and third trimesters of pregnancy, were associated with a decrease in both placental weight at birth ( = -20.1 g [95% CI: -37.8; -2.5] and = -17.4 g [95% CI: -33.2; -1.6], for second and third trimester, respectively) and PFR ( = -0.5 [95% CI: -1, -0.1] and = -0.5 [95% CI: -0.9, -0.1], for the second and third trimester, respectively). Additionally, MBzP was negatively associated with PVR during the third trimester (= -0.9 [95% CI: -1.8; 0.1]). Mono-n-butyl phthalate (MnBP), was negatively associated with PVR in both trimesters ( = -1.3, 95% CI: [-2.3, -0.2], and = -1.2, 95% CI: [-2.4, -0.03], for the second and third trimester, respectively). After stratification for child sex, Σ diisononyl phthalate (DiNP) (either second or third-trimester exposures, depending on the outcomes considered) was associated with decreased PVR in the third trimester, as well as decreased placental weight and PFR in males. No associations were observed for phenol biomarkers.

LIMITATIONS REASONS FOR CAUTION

False positives cannot be ruled out. Therefore, chemicals that were associated with multiple outcomes (MnBP and DiNP) or reported in existing literature as associated with placental outcomes (MBzP) should be considered as the main results.

WIDER IMPLICATIONS OF THE FINDINGS

Our results are consistent with studies showing that phthalates target peroxisome proliferator-activated receptor γ, in the family of nuclear receptors involved in key placental development processes such as trophoblast proliferation, migration, and invasion. In addition to placental weight at birth, we studied placental parameters during pregnancy, which could provide a broader view of how environmental chemicals affect maternal-fetal exchanges over the course of pregnancy. Our findings contribute to the increasing evidence indicating adverse impacts of phthalate exposure on placental health.

STUDY FUNDING/COMPETING INTERESTS: This work was supported by the French Research Agency-ANR (MEMORI project ANR-21-CE34-0022). The SEPAGES cohort was supported by the European Research Council (N°311765-E-DOHaD), the European Community's Seventh Framework Programme (FP7/2007-206-N°308333-892 HELIX), the European Union's Horizon 2020 research and innovation programme (N° 874583 ATHLETE Project, N°825712 OBERON Project), the French Research Agency-ANR (PAPER project ANR-12-PDOC-0029-01, SHALCOH project ANR-14-CE21-0007, ANR-15-IDEX-02 and ANR-15-IDEX5, GUMME project ANR-18-CE36-005, ETAPE project ANR-18-CE36-0005-EDeN project ANR-19-CE36-0003-01), the French Agency for Food, Environmental and Occupational Health & Safety-ANSES (CNAP project EST-2016-121, PENDORE project EST-2016-121, HyPAxE project EST-2019/1/039, PENDALIRE project EST-2022-169), the Plan Cancer (Canc'Air project), the French Cancer Research Foundation Association de Recherche sur le Cancer-ARC, the French Endowment Fund AGIR for chronic diseases-APMC (projects PRENAPAR, LCI-FOT, DysCard), the French Endowment Fund for Respiratory Health, the French Fund-Fondation de France (CLIMATHES-00081169, SEPAGES 5-00099903, ELEMENTUM-00124527). N.J. was supported by a doctoral fellowship from the University Grenoble Alpes. V.M. was supported by a Sara Borrell postdoctoral research contract (CD22/00176), granted by Instituto de Salud Carlos III (Spain) and NextGenerationEU funds. The authors declare no conflict of interest.

TRIAL REGISTRATION NUMBER

ClinicalTrials.gov NCT02852499.

摘要

研究问题

接触环境化学物质是否与胎盘形态和功能的改变有关?

简要回答

邻苯二甲酸盐是一类普遍存在的化学物质,与胎盘重量、胎盘血管阻力(PVR)和胎盘效率的改变有关。

已知信息

只有少数流行病学研究评估了酚类和邻苯二甲酸盐对胎盘健康的影响。它们的结果受到与这些化合物快速排泄相关的暴露测量误差以及依赖有限数量的随机尿样来评估暴露的影响。

研究设计规模时长

一项前瞻性母婴队列研究,对非持久性化学物质的暴露评估有所改进,于2014年至2017年招募参与者。样本量在355(出生时测量的胎盘参数:胎盘重量和胎盘与胎儿重量比(PFR):胎盘效率的一个指标)至426(孕期测量的胎盘参数:胎盘厚度和血管阻力)之间。

参与者/材料设置方法:在妊娠中期和晚期收集的受试者重复尿样池(中位数 = 21个样本/孕期/女性)中测量了酚类(四种对羟基苯甲酸酯、两种双酚、三氯生和二苯甲酮 - 3)、13种邻苯二甲酸酯代谢物和两种非邻苯二甲酸酯增塑剂代谢物。在孕期测量胎盘厚度和PVR。出生时称量胎盘重量并计算PFR。使用调整线性回归和贝叶斯核机器回归来评估酚类和邻苯二甲酸盐(单独或作为混合物)与胎盘参数之间的关联。还研究了儿童性别对效应的修饰作用。

主要结果及偶然性的作用

几种邻苯二甲酸酯代谢物与胎盘结局呈负相关。妊娠中期和晚期的单苄基邻苯二甲酸酯(MBzP)浓度分别与出生时胎盘重量的降低(中期 = -20.1 g [95% CI:-37.8;-2.5],晚期 = -17.4 g [95% CI:-33.2;-1.6])和PFR的降低(中期 = -0.5 [95% CI:-1,-0.1],晚期 = -0.5 [95% CI:-0.9,-0.1])相关。此外,MBzP在晚期与PVR呈负相关( = -0.9 [95% CI:-1.8;0.1])。单正丁基邻苯二甲酸酯(MnBP)在两个孕期均与PVR呈负相关(中期 = -1.3,95% CI:[-2.3,-0.2],晚期 = -1.2,95% CI:[-2.4,-0.03])。按儿童性别分层后,Σ 二异壬基邻苯二甲酸酯(DiNP)(取决于所考虑的结局,为中期或晚期暴露)与晚期PVR降低以及男性胎盘重量和PFR降低相关。未观察到酚类生物标志物的关联。

局限性谨慎原因

不能排除假阳性。因此,与多种结局相关(MnBP和DiNP)或在现有文献中报道与胎盘结局相关(MBzP)的化学物质应被视为主要结果。

研究结果的更广泛影响

我们的结果与 研究一致,表明邻苯二甲酸盐靶向过氧化物酶体增殖物激活受体γ,该受体属于参与胎盘关键发育过程如滋养层增殖、迁移和侵袭的核受体家族。除了出生时的胎盘重量,我们还研究了孕期的胎盘参数,这可以更全面地了解环境化学物质如何在孕期影响母婴交换。我们的发现有助于越来越多的证据表明邻苯二甲酸酯暴露对胎盘健康有不利影响。

研究资金/利益冲突:这项工作得到了法国研究机构 - ANR(MEMORI项目ANR - 21 - CE34 - 0022)的支持。SEPAGES队列得到了欧洲研究理事会(编号311765 - E - DOHaD)、欧洲共同体第七框架计划(FP7/2007 - 206 - 编号308333 - 892 HELIX)、欧盟地平线2020研究与创新计划(编号874583 ATHLETE项目,编号825712 OBERON项目)、法国研究机构 - ANR(PAPER项目ANR - 12 - PDOC - 0029 - 01,SHALCOH项目ANR - 14 - CE21 - 0007,ANR - 15 - IDEX - 02和ANR - 15 - IDEX5,GUMME项目ANR - 18 - CE36 - 005,ETAPE项目ANR - 18 - CE36 - 0005 - EDeN项目ANR - 19 - CE36 - 0003 - 01)、法国食品、环境和职业健康与安全机构 - ANSES(CNAP项目EST - 2016 - 121,PENDORE项目EST - 2016 - 121,HyPAxE项目EST - 2019/1/039,PENDALIRE项目EST - 2022 - 169)、癌症计划(Canc'Air项目)、法国癌症研究基金会癌症研究协会 - ARC、法国慢性病捐赠基金AGIR for chronic diseases - APMC(项目PRENAPAR,LCI - FOT,DysCard)、法国呼吸健康捐赠基金、法国基金 - 法国基金会(CLIMATHES - 00081169,SEPAGES 5 - 00099903,ELEMENTUM - 001

https://cdn.ncbi.nlm.nih.gov/pmc/blobs/d0c3/11057944/3102ec07e6aa/hoae018f1.jpg

文献AI研究员

20分钟写一篇综述,助力文献阅读效率提升50倍。

立即体验

用中文搜PubMed

大模型驱动的PubMed中文搜索引擎

马上搜索

文档翻译

学术文献翻译模型,支持多种主流文档格式。

立即体验