Suppr超能文献

螺旋藻的氨基酸高效液相色谱-荧光检测分析及其对Wistar大鼠肥胖与结肠炎合并症的保护机制

Amino acid HPLC-FLD analysis of spirulina and its protective mechanism against the combination of obesity and colitis in wistar rats.

作者信息

Arrari Fatma, Jabri Mohamed-Amine, Ayari Ala, Dakhli Nouha, Ben Fayala Chayma, Boubaker Samir, Sebai Hichem

机构信息

Université de Jendouba, Institut Supérieur de Biotechnologie de Béja, LR: Physiologie Fonctionnelle et Valorisation des Bio-Ressources, 9000, Béja, Tunisia.

Laboratoire d'anatomie Pathologique Humaine et Expérimentale, Institut Pasteur de Tunis, 13, Place Pasteur, Tunis, 1002, Tunisia.

出版信息

Heliyon. 2024 Apr 24;10(9):e30103. doi: 10.1016/j.heliyon.2024.e30103. eCollection 2024 May 15.

Abstract

OBJECTIVE

The cafeteria diet (CD), designed as an experimental diet mimicking the obesogenic diet, may contribute to the pathogenesis of inflammatory bowel diseases (IBD). This study delves into the influence of spirulina (SP) on obesity associated with colitis in Wistar rats.

METHODS

The amino acids composition of SP was analyzed using HPLC-FLD. Animals were equally separated into eight groups, each containing seven animals and treated daily for eight weeks as follows: Control diet (SD), cafeteria diet (CD) group, CD + SP (500 mg/kg) and SD + SP. Ulcerative colitis was provoked by rectal injection of acetic acid (AA) (3 % v/v, 5 ml/kg b.) on the last day of treatment in the following groups: SD + AA, SD + AA + SP, CD + AA, and CD + AA + SP.

RESULTS

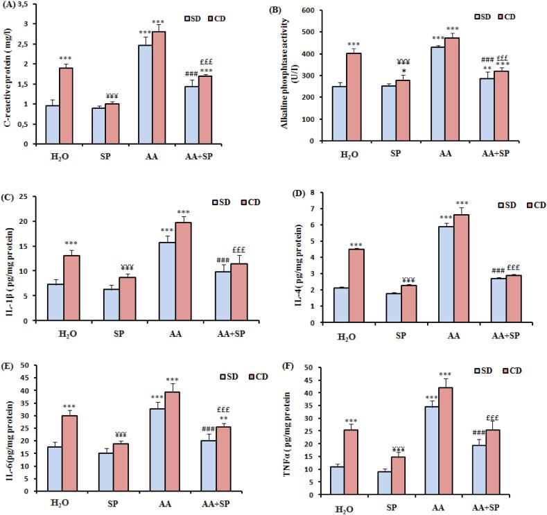
Findings revealed that UC and/or CD increased the abdominal fat, weights gain, and colons. Moreover, severe colonic alteration, perturbations in the serum metabolic parameters associated with an oxidative stress state in the colonic mucosa, defined by overproduction of reactive oxygen species (ROS) and increased levels of plasma scavenging activity (PSA). Additionally, obesity exacerbated the severity of AA-induced UC promoting inflammation marked by the overexpression of pro-inflammatory cytokines. Significantly, treatment with SP provided notable protection against inflammation severity, reduced histopathological alterations, attenuated lipid peroxidation (MDA), and enhanced antioxidant enzyme activities (CAT, SOD, and GPX) along with non-enzymatic antioxidants (GSH and SH-G).

CONCLUSIONS

Thus, the antioxidant effects and anti-inflammatory proprieties of SP could be attributed to its richness in amino acids, which could potentially mitigate inflammation severity in obese subjects suffering from ulcerative colitis. These results imply that SP hold promise as a therapeutic agent for managing of UC, particularly in individuals with concomitant obesity. Understanding SP's mechanisms of action may lead novel treatment strategies for inflammatory bowel diseases and hyperlipidemia in medical research.

摘要

目的

作为模拟致肥胖饮食的实验性饮食,自助餐厅饮食(CD)可能会促进炎症性肠病(IBD)的发病机制。本研究深入探讨螺旋藻(SP)对Wistar大鼠结肠炎相关肥胖的影响。

方法

采用高效液相色谱 - 荧光检测法(HPLC - FLD)分析SP的氨基酸组成。将动物平均分为八组,每组七只,并进行为期八周的每日治疗,具体如下:对照饮食(SD)组、自助餐厅饮食(CD)组、CD + SP(500 mg/kg)组和SD + SP组。在以下组别的治疗最后一天,通过直肠注射乙酸(AA)(3% v/v,5 ml/kg体重)诱发溃疡性结肠炎:SD + AA组、SD + AA + SP组、CD + AA组和CD + AA + SP组。

结果

研究结果显示,溃疡性结肠炎和/或自助餐厅饮食增加了腹部脂肪、体重增加和结肠重量。此外,出现了严重的结肠改变,血清代谢参数紊乱,这与结肠黏膜中的氧化应激状态有关,其表现为活性氧(ROS)的过度产生和血浆清除活性(PSA)水平的升高。此外,肥胖加剧了AA诱导的溃疡性结肠炎的严重程度,促进了以促炎细胞因子过表达为特征的炎症。值得注意的是,SP治疗显著减轻了炎症严重程度,减少了组织病理学改变,减轻了脂质过氧化(MDA),并增强了抗氧化酶活性(CAT、SOD和GPX)以及非酶抗氧化剂(GSH和SH - G)。

结论

因此,SP的抗氧化作用和抗炎特性可能归因于其丰富的氨基酸,这可能会减轻患有溃疡性结肠炎的肥胖受试者的炎症严重程度。这些结果表明,SP有望成为治疗溃疡性结肠炎的药物,特别是对于伴有肥胖的个体。了解SP的作用机制可能会为医学研究中的炎症性肠病和高脂血症带来新的治疗策略。

https://cdn.ncbi.nlm.nih.gov/pmc/blobs/68ab/11061748/ec388666fd4e/gr1.jpg

文献AI研究员

20分钟写一篇综述,助力文献阅读效率提升50倍。

立即体验

用中文搜PubMed

大模型驱动的PubMed中文搜索引擎

马上搜索

文档翻译

学术文献翻译模型,支持多种主流文档格式。

立即体验