Suppr超能文献

葡萄牙肥胖人群的住院费用:2011 年至 2021 年全国基于人群的队列研究结果。

Hospitalization costs in Portugal among people with obesity: results from a nationwide population-based cohort 2011 to 2021.

机构信息

Comprehensive Health Research Centre, NOVA Medical School, Universidade NOVA de Lisboa, Lisbon, Portugal.

NOVA National School of Public Health, Public Health Research Centre, Comprehensive Health Research Center, NOVA University Lisbon, Lisbon, Portugal.

出版信息

Front Public Health. 2024 Apr 24;12:1380690. doi: 10.3389/fpubh.2024.1380690. eCollection 2024.

Abstract

BACKGROUND

Obesity has been extensively studied over the years, primarily focusing on the physiological aspects of the disease. However, the general burden of obesity mainly the financial implications and its influence on hospitalization and length of stay have only recently garnered attention in the literature, particularly in the case of Portugal.

AIM

This study aimed to investigate the association between obesity and hospitalizations in the Portuguese adult population and compare the average costs of hospitalization among participants with and without obesity.

METHODS

At baseline, the analytic sample consisted of 10,102 participants aged ≥18 years from the Portuguese population-based Epidemiology of Chronic Diseases Cohort (EpiDoC). Participants were then followed for up to 10 years from 2011 to 2021 in three more waves of data collection. Body mass index was derived from self-reported weight and height, and instances of hospitalization were self-reported by the participants. The associated costs for each hospitalization episode were categorized according to national legislation and valued according to the pricing for Diagnosis Related Groups.

RESULTS

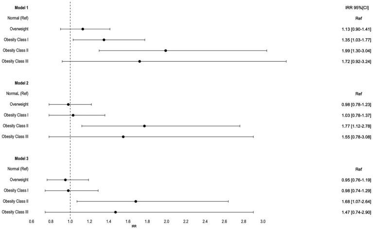
Obesity was associated with more hospitalizations (for example, Obesity class I vs. normal weight: OR = 1.33 [1.14-1.55]). However, when the presence of multimorbidity was considered, this association diminished. While longer hospital length of stay was observed in individuals with higher obesity categories, this difference did not reach statistical significance. On average, the total hospitalization costs per patient with obesity amounted to €200.4 per year.

CONCLUSION

Obesity is as a risk factor for hospitalizations and potentially with higher length of stay hospitalizations, with this effect being partially mediated by the concurrent presence of multimorbidity. Consequently, obesity constitutes an additional burden on healthcare systems. This underscores the imperative of implementing cost-effective prevention programs aimed at addressing and managing this significant public health concern.

摘要

背景

多年来,肥胖一直是研究的热点,主要集中在疾病的生理方面。然而,肥胖的总体负担,主要是经济方面的影响及其对住院和住院时间的影响,最近才在文献中受到关注,尤其是在葡萄牙的情况。

目的

本研究旨在调查肥胖与葡萄牙成年人群住院之间的关系,并比较肥胖和非肥胖患者住院的平均费用。

方法

在基线时,分析样本由来自葡萄牙人群为基础的慢性疾病流行病学队列(EpiDoC)的 10102 名年龄≥18 岁的参与者组成。然后,在 2011 年至 2021 年期间,在另外三个数据收集波中对参与者进行了长达 10 年的随访。体重指数是由自我报告的体重和身高推算出来的,住院次数是由参与者自我报告的。根据国家法规对每个住院病例的相关费用进行分类,并根据诊断相关组的定价进行估值。

结果

肥胖与更多的住院有关(例如,肥胖 I 级与正常体重相比:OR=1.33 [1.14-1.55])。然而,当考虑到多合并症的存在时,这种关联就减弱了。虽然在肥胖程度较高的人群中观察到了更长的住院时间,但这一差异没有达到统计学意义。肥胖患者的平均每年住院总费用为 200.4 欧元。

结论

肥胖是住院的危险因素,可能与更高的住院时间有关,而这种影响部分是由同时存在的多合并症所介导的。因此,肥胖给医疗保健系统带来了额外的负担。这突显出实施具有成本效益的预防计划的必要性,以解决和管理这一重大公共卫生问题。

https://cdn.ncbi.nlm.nih.gov/pmc/blobs/f00a/11076754/4977dd3ccd38/fpubh-12-1380690-g001.jpg

文献AI研究员

20分钟写一篇综述,助力文献阅读效率提升50倍。

立即体验

用中文搜PubMed

大模型驱动的PubMed中文搜索引擎

马上搜索

文档翻译

学术文献翻译模型,支持多种主流文档格式。

立即体验