Suppr超能文献

钆塞酸二钠增强磁共振成像对单发肝细胞癌患者微血管侵犯的术前预测:肝切除范围手术决策的意义

Preoperative Prediction of Microvascular Invasion with Gadoxetic Acid-Enhanced Magnetic Resonance Imaging in Patients with Single Hepatocellular Carcinoma: The Implication of Surgical Decision on the Extent of Liver Resection.

作者信息

Kim Na Reum, Bae Heejin, Hwang Hyeo Seong, Han Dai Hoon, Kim Kyung Sik, Choi Jin Sub, Park Mi-Suk, Choi Gi Hong

机构信息

Division of Hepatobiliary and Pancreatic Surgery, Department of Surgery, Severance Hospital, Seoul, Republic of Korea.

Department of Surgery, Yonsei University College of Medicine, Seoul, Republic of Korea.

出版信息

Liver Cancer. 2023 Jul 7;13(2):181-192. doi: 10.1159/000531786. eCollection 2024 Apr.

Abstract

INTRODUCTION

Microvascular invasion (MVI) is one of the most important prognostic factors for hepatocellular carcinoma (HCC) recurrence, but its application in preoperative clinical decisions is limited. This study aimed to identify preoperative predictive factors for MVI in HCC and further evaluate oncologic outcomes of different types and extents of hepatectomy according to stratified risk of MVI.

METHODS

Patients with surgically resected single HCC (≤5 cm) who underwent preoperative gadoxetic acid-enhanced magnetic resonance imaging (MRI) were included in a single-center retrospective study. Two radiologists reviewed the images with no clinical, pathological, or prognostic information. Significant predictive factors for MVI were identified using logistic regression analysis against pathologic MVI and used to stratify patients. In the subgroup analysis, long-term outcomes of the stratified patients were analyzed using the Kaplan-Meier method with log-rank test and compared between anatomical and nonanatomical or major and minor resection.

RESULTS

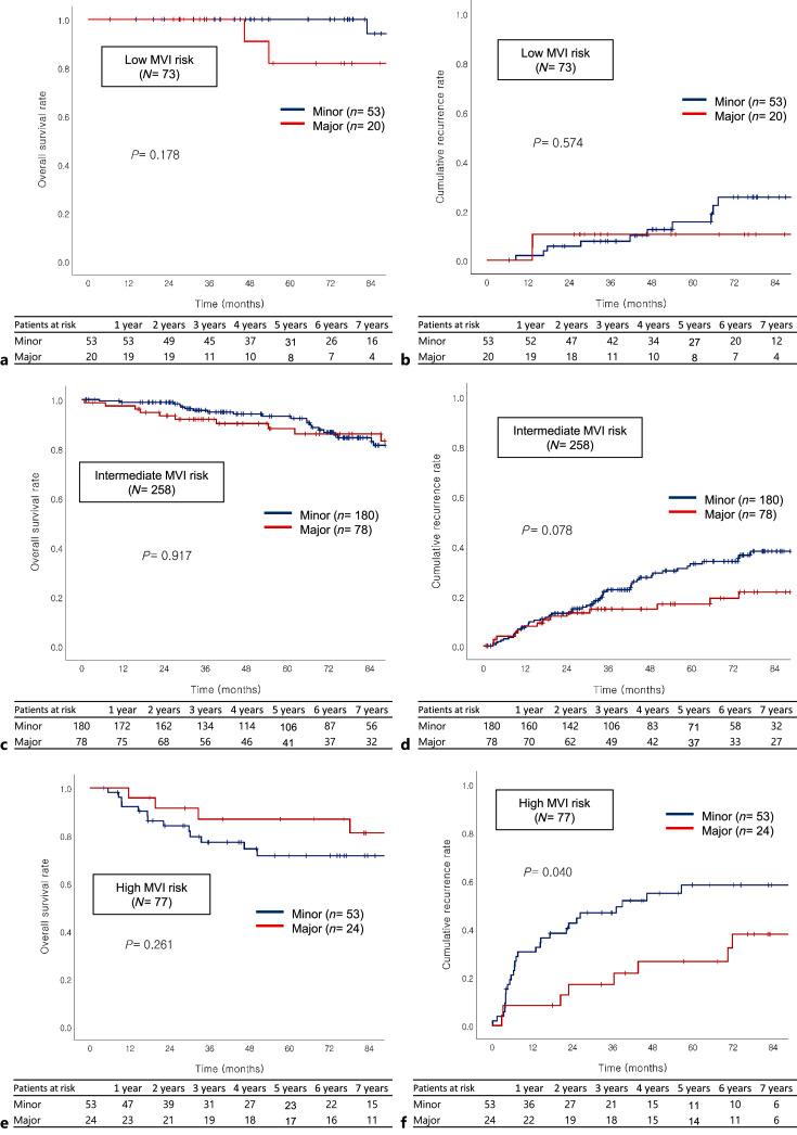
A total of 408 patients, 318 men and 90 women, with a mean age of 56.7 years were included. Elevated levels of tumor markers (alpha-fetoprotein [α-FP] ≥25 ng/mL and PIVKA-II ≥40 mAU/mL) and three MRI features (tumor size ≥3 cm, non-smooth tumor margin, and arterial peritumoral enhancement) were independent predictive factors for MVI. As the MVI risk increased from low (no predictive factor) and intermediate (1-2 factors) to high-risk (3-4 factors), recurrence-free and overall survival of each group significantly decreased ( = 0.001). In the high MVI risk group, 5-year cumulative recurrence rate was significantly lower in patients who underwent major compared to minor hepatectomy (26.6 vs. 59.8%, = 0.027).

CONCLUSION

Tumor markers and MRI features can predict the risk of MVI and prognosis after hepatectomy. Patients with high MVI risk had the worst prognosis among the three groups, and major hepatectomy improved long-term outcomes in these high-risk patients.

摘要

引言

微血管侵犯(MVI)是肝细胞癌(HCC)复发的最重要预后因素之一,但其在术前临床决策中的应用有限。本研究旨在确定HCC中MVI的术前预测因素,并根据MVI的分层风险进一步评估不同类型和范围肝切除术的肿瘤学结局。

方法

本单中心回顾性研究纳入了接受术前钆塞酸二钠增强磁共振成像(MRI)检查且手术切除单个HCC(≤5 cm)的患者。两名放射科医生在不了解临床、病理或预后信息的情况下对图像进行了评估。通过对病理MVI进行逻辑回归分析确定MVI的重要预测因素,并用于对患者进行分层。在亚组分析中,采用Kaplan-Meier法和对数秩检验分析分层患者的长期结局,并比较解剖性和非解剖性或大、小范围肝切除术之间的差异。

结果

共纳入408例患者,其中男性318例,女性90例,平均年龄56.7岁。肿瘤标志物水平升高(甲胎蛋白[α-FP]≥25 ng/mL和异常凝血酶原≥40 mAU/mL)以及三个MRI特征(肿瘤大小≥3 cm、肿瘤边缘不光滑和动脉期瘤周强化)是MVI的独立预测因素。随着MVI风险从低(无预测因素)、中(1-2个因素)增加到高风险(3-4个因素),每组的无复发生存率和总生存率显著降低(P<0.001)。在高MVI风险组中,接受大范围肝切除术的患者5年累积复发率显著低于小范围肝切除术患者(26.6%对59.8%,P = 0.027)。

结论

肿瘤标志物和MRI特征可预测肝切除术后的MVI风险和预后。高MVI风险患者在三组中预后最差,大范围肝切除术改善了这些高风险患者的长期结局。

https://cdn.ncbi.nlm.nih.gov/pmc/blobs/b2e0/11095589/793b1e18c10e/lic-2024-0013-0002-531786_F01.jpg

文献AI研究员

20分钟写一篇综述,助力文献阅读效率提升50倍。

立即体验

用中文搜PubMed

大模型驱动的PubMed中文搜索引擎

马上搜索

文档翻译

学术文献翻译模型,支持多种主流文档格式。

立即体验