Suppr超能文献

色觉瞳孔测量术作为恒河猴遗传性视网膜疾病的潜在筛查工具。

Chromatic Pupillometry as a Putative Screening Tool for Heritable Retinal Disease in Rhesus Macaques.

机构信息

Department of Surgical and Radiological Sciences, School of Veterinary Medicine, University of California Davis, Davis, CA, USA.

Department of Ophthalmology and Vision Science, School of Medicine, University of California Davis, Davis, CA, USA.

出版信息

Transl Vis Sci Technol. 2023 Jun 1;12(6):13. doi: 10.1167/tvst.12.6.13.

Abstract

PURPOSE

Non-human primates (NHPs) are useful models for human retinal disease. Chromatic pupillometry has been proposed as a noninvasive method of identifying inherited retinal diseases (IRDs) in humans; however, standard protocols employ time-consuming dark adaptation. We utilized shortened and standard dark-adaptation protocols to compare pupillary light reflex characteristics following chromatic stimulation in rhesus macaques with achromatopsia to wild-type (WT) controls with normal retinal function.

METHODS

Nine rhesus macaques homozygous for the p.R656Q mutation (PDE6C HOMs) and nine WT controls were evaluated using chromatic pupillometry following 1-minute versus standard 20-minute dark adaptations. The following outcomes were measured and compared between groups: pupil constriction latency, peak constriction, pupil constriction time, and constriction velocity.

RESULTS

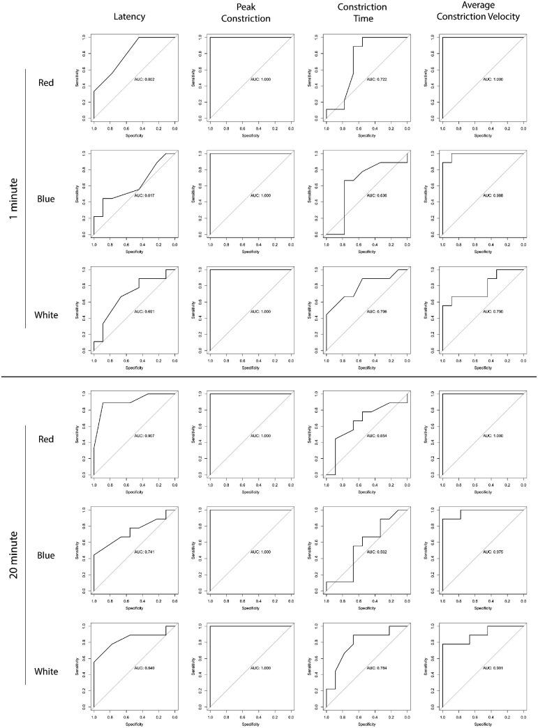
Pupil constriction latency was significantly longer in PDE6C HOMs with red-light (P = 0.0002) and blue-light (P = 0.04) stimulation versus WT controls. Peak constriction was significantly less in PDE6C HOMs with all light stimulation compared to WT controls (P < 0.0001). Pupil constriction time was significantly shorter in PDE6C HOMs versus WT controls with red-light (P = 0.04) and white-light (P = 0.003) stimulation. Pupil constriction velocity was significantly slower in PDE6C HOMs versus WT controls with red-light (P < 0.0001), blue-light (P < 0.0001), and white-light (P = 0.0002) stimulation. Dark adaptation time only significantly affected peak (P = 0.008) and time of pupil constriction (P = 0.02) following blue-light stimulation.

CONCLUSIONS

Chromatic pupillometry following 1- and 20-minute dark adaptation is an effective tool for screening NHPs for achromatopsia.

TRANSLATIONAL RELEVANCE

Rapid identification of NHPs with IRDs will provide animal research models to advance research and treatment of achromatopia in humans.

摘要

目的

非人类灵长类动物(NHPs)是人类视网膜疾病的有用模型。彩色瞳孔测量已被提议作为一种非侵入性方法来识别人类遗传性视网膜疾病(IRDs);然而,标准方案采用耗时的暗适应。我们利用缩短和标准暗适应方案,比较了患有色盲症的恒河猴与具有正常视网膜功能的野生型(WT)对照的彩色刺激后的瞳孔光反射特征。

方法

对 9 只纯合 PDE6C 突变(PDE6C HOMs)的恒河猴和 9 只 WT 对照进行了彩色瞳孔测量,分别进行了 1 分钟和标准 20 分钟的暗适应。在组间比较并测量了以下结果:瞳孔收缩潜伏期、峰值收缩、瞳孔收缩时间和收缩速度。

结果

与 WT 对照相比,PDE6C HOM 对红光(P=0.0002)和蓝光(P=0.04)刺激的瞳孔收缩潜伏期明显更长。与 WT 对照相比,PDE6C HOM 对所有光刺激的峰值收缩明显更小(P<0.0001)。与 WT 对照相比,PDE6C HOM 对红光(P=0.04)和白光(P=0.003)刺激的瞳孔收缩时间明显更短。与 WT 对照相比,PDE6C HOM 对红光(P<0.0001)、蓝光(P<0.0001)和白光(P=0.0002)刺激的瞳孔收缩速度明显较慢。暗适应时间仅显著影响蓝光刺激后的峰值(P=0.008)和瞳孔收缩时间(P=0.02)。

结论

1 分钟和 20 分钟暗适应后的彩色瞳孔测量是筛查 NHP 色盲的有效工具。

翻译

本文提出了一种新的方法,用于检测人类遗传性视网膜疾病。这种方法利用非人类灵长类动物作为模型,通过测量瞳孔对不同颜色光的反应来进行诊断。研究人员发现,与野生型对照相比,患有色盲症的恒河猴对红光和蓝光的瞳孔收缩潜伏期明显更长,峰值收缩明显更小,瞳孔收缩时间明显更短,瞳孔收缩速度明显较慢。此外,暗适应时间也会影响瞳孔对光的反应。这些结果表明,彩色瞳孔测量可以作为一种有效的工具,用于筛查 NHP 中的色盲症。

https://cdn.ncbi.nlm.nih.gov/pmc/blobs/eebf/10289275/83b3ea9abb9c/tvst-12-6-13-f001.jpg

文献AI研究员

20分钟写一篇综述,助力文献阅读效率提升50倍。

立即体验

用中文搜PubMed

大模型驱动的PubMed中文搜索引擎

马上搜索

文档翻译

学术文献翻译模型,支持多种主流文档格式。

立即体验