Suppr超能文献

阿司匹林与缺铁之谜:铁螯合代谢物的关键缺失环节。

The Puzzle of Aspirin and Iron Deficiency: The Vital Missing Link of the Iron-Chelating Metabolites.

机构信息

Postgraduate Research Institute of Science, Technology, Environment and Medicine, Limassol 3021, Cyprus.

出版信息

Int J Mol Sci. 2024 May 9;25(10):5150. doi: 10.3390/ijms25105150.

Abstract

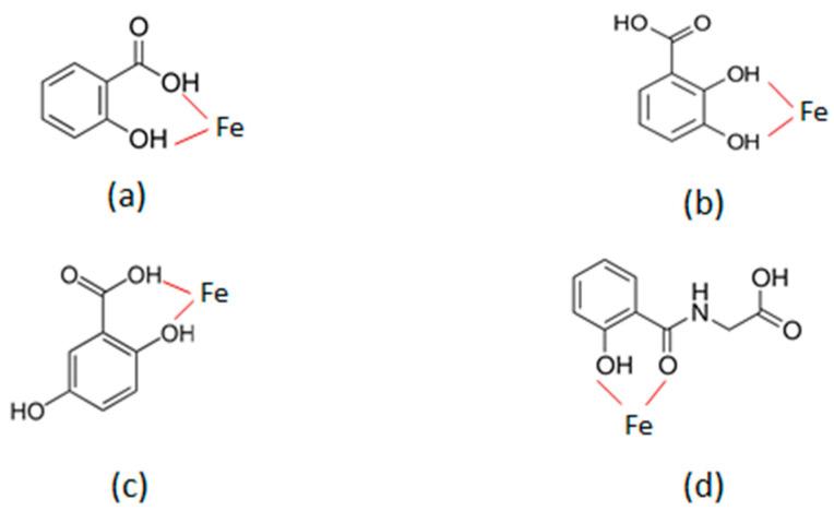
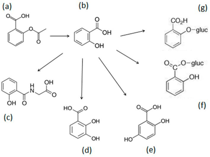
Acetylsalicylic acid or aspirin is the most commonly used drug in the world and is taken daily by millions of people. There is increasing evidence that chronic administration of low-dose aspirin of about 75-100 mg/day can cause iron deficiency anaemia (IDA) in the absence of major gastric bleeding; this is found in a large number of about 20% otherwise healthy elderly (>65 years) individuals. The mechanisms of the cause of IDA in this category of individuals are still largely unknown. Evidence is presented suggesting that a likely cause of IDA in this category of aspirin users is the chelation activity and increased excretion of iron caused by aspirin chelating metabolites (ACMs). It is estimated that 90% of oral aspirin is metabolized into about 70% of the ACMs salicyluric acid, salicylic acid, 2,5-dihydroxybenzoic acid, and 2,3-dihydroxybenzoic acid. All ACMs have a high affinity for binding iron and ability to mobilize iron from different iron pools, causing an overall net increase in iron excretion and altering iron balance. Interestingly, 2,3-dihydroxybenzoic acid has been previously tested in iron-loaded thalassaemia patients, leading to substantial increases in iron excretion. The daily administration of low-dose aspirin for long-term periods is likely to enhance the overall iron excretion in small increments each time due to the combined iron mobilization effect of the ACM. In particular, IDA is likely to occur mainly in populations such as elderly vegetarian adults with meals low in iron content. Furthermore, IDA may be exacerbated by the combinations of ACM with other dietary components, which can prevent iron absorption and enhance iron excretion. Overall, aspirin is acting as a chelating pro-drug similar to dexrazoxane, and the ACM as combination chelation therapy. Iron balance, pharmacological, and other studies on the interaction of iron and aspirin, as well as ACM, are likely to shed more light on the mechanism of IDA. Similar mechanisms of iron chelation through ACM may also be implicated in patient improvements observed in cancer, neurodegenerative, and other disease categories when treated long-term with daily aspirin. In particular, the role of aspirin and ACM in iron metabolism and free radical pathology includes ferroptosis, and may identify other missing links in the therapeutic effects of aspirin in many more diseases. It is suggested that aspirin is the first non-chelating drug described to cause IDA through its ACM metabolites. The therapeutic, pharmacological, toxicological and other implications of aspirin are incomplete without taking into consideration the iron binding and other effects of the ACM.

摘要

乙酰水杨酸或阿司匹林是世界上使用最广泛的药物,每天都有成千上万的人服用。越来越多的证据表明,慢性低剂量服用阿司匹林(约 75-100mg/天)会导致缺铁性贫血(IDA),而没有明显的胃大出血;这种情况在大量年龄在 65 岁以上的健康老年人中发现约为 20%。这一类人群中 IDA 的发病机制在很大程度上仍不清楚。有证据表明,阿司匹林使用者中 IDA 的一个可能原因是阿司匹林螯合代谢物(ACMs)的螯合活性和铁排泄增加。据估计,90%的口服阿司匹林代谢为约 70%的 ACM 水杨酸尿酸、水杨酸、2,5-二羟基苯甲酸和 2,3-二羟基苯甲酸。所有的 ACMs 都与铁有很高的亲和力,并且能够从不同的铁池中动员铁,导致总的铁排泄增加,并改变铁的平衡。有趣的是,2,3-二羟基苯甲酸以前曾在铁负荷地中海贫血患者中进行过测试,导致铁排泄显著增加。长期每天服用低剂量阿司匹林可能会由于 ACM 的联合铁动员作用,每次小幅度增加总的铁排泄。特别是 IDA 可能主要发生在铁含量低的老年素食成年人等人群中。此外,IDA 可能因 ACM 与其他饮食成分的组合而加重,这些成分可以阻止铁吸收并增强铁排泄。总的来说,阿司匹林作为一种类似右雷佐生的螯合前体药物,而 ACM 作为联合螯合治疗。铁平衡、药理学和其他关于铁与阿司匹林以及 ACM 相互作用的研究,可能会进一步阐明 IDA 的发病机制。通过 ACM 进行铁螯合的类似机制也可能与癌症、神经退行性等疾病类别中患者的长期治疗相关,这些患者每天服用阿司匹林。特别是阿司匹林和 ACM 在铁代谢和自由基病理学中的作用包括铁死亡,这可能会确定阿司匹林在许多其他疾病中的治疗效果的其他缺失环节。因此,建议阿司匹林是第一种通过其 ACM 代谢物引起 IDA 的非螯合药物。如果不考虑 ACM 的铁结合和其他作用,阿司匹林的治疗、药理学、毒理学和其他影响是不完整的。

https://cdn.ncbi.nlm.nih.gov/pmc/blobs/f44a/11121054/1ad6b9072b2f/ijms-25-05150-g001.jpg

文献AI研究员

20分钟写一篇综述,助力文献阅读效率提升50倍。

立即体验

用中文搜PubMed

大模型驱动的PubMed中文搜索引擎

马上搜索

文档翻译

学术文献翻译模型,支持多种主流文档格式。

立即体验