Suppr超能文献

糖皮质激素反应性多肌痛和类风湿性关节炎患者的原始炎症蛋白质组谱——与触发因素和蛋白质组表现的联系

Naïve Inflammatory Proteome Profiles of Glucocorticoid Responsive Polymyalgia Rheumatica and Rheumatic Arthritis Patients-Links to Triggers and Proteomic Manifestations.

作者信息

Stensballe Allan, Andersen Jacob Skallerup, Aboo Christopher, Andersen Anders Borg, Ren Jie, Meyer Michael Kruse, Lambertsen Kate Lykke, Leutscher Peter Derek Christian

机构信息

Department of Health Science and Technology, Aalborg University, Selma Lagerloefs Vej 249, 9220 Aalborg, Denmark.

Clinical Cancer Research Center, Aalborg University Hospital, 9000 Aalborg, Denmark.

出版信息

J Pers Med. 2024 Apr 25;14(5):449. doi: 10.3390/jpm14050449.

Abstract

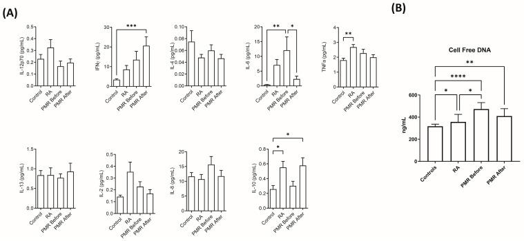
Polymyalgia rheumatica (PMR) is an inflammatory disorder of unknown etiology, sharing symptoms with giant cell arthritis (GCA) and rheumatoid arthritis (RA). The pathogenic inflammatory roots are still not well understood, and there is a lack of extensive biomarker studies to explain the disease debut and post-acute phase. This study aimed to deeply analyze the serum proteome and inflammatory response of PMR patients before and after glucocorticoid treatment. We included treatment-naïve PMR patients, collecting samples before and after 3 months of treatment. For comparison, disease-modifying antirheumatic drug (DMARD)-naïve RA patients were included and matched to healthy controls (CTL). The serum proteome was examined using label-free quantitative mass spectrometry, while inflammation levels were assessed using multiplex inflammatory cytokine and cell-free DNA assays. The serum proteomes of the four groups comprised acute phase reactants, coagulation factors, complement proteins, immunoglobulins, and apolipoproteins. Serum amyloid A (SAA1) was significantly reduced by active PMR treatment. Cell-free DNA levels in PMR and RA groups were significantly higher than in healthy controls due to acute inflammation. Complement factors had minimal changes post-treatment. The individual serum proteome in PMR patients showed over 100 abundantly variable proteins, emphasizing the systemic impact of PMR disease debut and the effect of treatment. Interleukin (IL)-6 and interferon-gamma (IFN-γ) were significantly impacted by glucocorticoid treatment. Our study defines the PMR serum proteome during glucocorticoid treatment and highlights the role of SAA1, IL-6, and IFN-γ in treatment responses. An involvement of PGLYRP2 in acute PMR could indicate a response to bacterial infection, highlighting its role in the acute phase of the immune response. The results suggest that PMR may be an aberrant response to a bacterial infection with an exacerbated IL-6 and acute phase inflammatory response and molecular attempts to limit the inflammation.

摘要

风湿性多肌痛(PMR)是一种病因不明的炎症性疾病,与巨细胞关节炎(GCA)和类风湿关节炎(RA)有共同症状。其致病的炎症根源仍未完全明确,且缺乏广泛的生物标志物研究来解释疾病的初发及急性期后情况。本研究旨在深入分析糖皮质激素治疗前后PMR患者的血清蛋白质组及炎症反应。我们纳入了未接受过治疗的PMR患者,收集治疗前及治疗3个月后的样本。为作比较,纳入了未使用过改善病情抗风湿药物(DMARD)的RA患者,并与健康对照(CTL)进行匹配。使用无标记定量质谱法检测血清蛋白质组,同时使用多重炎症细胞因子和游离DNA检测法评估炎症水平。四组的血清蛋白质组包括急性期反应物、凝血因子、补体蛋白、免疫球蛋白和载脂蛋白。活性PMR治疗可使血清淀粉样蛋白A(SAA1)显著降低。由于急性炎症,PMR和RA组的游离DNA水平显著高于健康对照组。治疗后补体因子变化极小。PMR患者的个体血清蛋白质组显示有超过100种丰度变化显著的蛋白质,强调了PMR疾病初发的全身影响及治疗效果。白细胞介素(IL)-6和干扰素-γ(IFN-γ)受到糖皮质激素治疗的显著影响。我们的研究确定了糖皮质激素治疗期间的PMR血清蛋白质组,并突出了SAA1、IL-6和IFN-γ在治疗反应中的作用。肽聚糖识别蛋白2(PGLYRP2)参与急性PMR可能表明对细菌感染的反应,突出了其在免疫反应急性期的作用。结果表明,PMR可能是对细菌感染的异常反应,伴有IL-6和急性期炎症反应加剧以及限制炎症的分子尝试。

https://cdn.ncbi.nlm.nih.gov/pmc/blobs/07c3/11122654/bfe62f27d524/jpm-14-00449-g001.jpg

文献AI研究员

20分钟写一篇综述,助力文献阅读效率提升50倍。

立即体验

用中文搜PubMed

大模型驱动的PubMed中文搜索引擎

马上搜索

文档翻译

学术文献翻译模型,支持多种主流文档格式。

立即体验