Suppr超能文献

KRAS突变在腺癌和鳞状细胞癌患者中与PDL1表达及免疫治疗的预后价值:一项希腊队列研究

Prognostic Value of KRAS Mutations in Relation to PDL1 Expression and Immunotherapy Treatment in Adenocarcinoma and Squamous Cell Carcinoma Patients: A Greek Cohort Study.

作者信息

Tsiouda Theodora, Domvri Kalliopi, Boutsikou Efimia, Bikos Vasileios, Kyrka Krystallia, Papadaki Konstantina, Pezirkianidou Persefoni, Porpodis Konstantinos, Cheva Angeliki

机构信息

Pulmonary-Oncology Department, 'Theageneio' Cancer Hospital, 540 07 Thessaloniki, Greece.

Laboratory of Histology-Embryology, Medical School, Aristotle University, 541 24 Thessaloniki, Greece.

出版信息

J Pers Med. 2024 Apr 25;14(5):457. doi: 10.3390/jpm14050457.

Abstract

BACKGROUND

Factors that could predict which patients will benefit from Immune Checkpoint Inhibitors (ICIs) are not fully understood. This study aimed to investigate the prognostic value of KRAS biomarker in patients with advanced non-small cell lung cancer (NSCLC) in relation to clinical characteristics, treatment response and PDL1 expression.

PATIENTS AND METHODS

The study included 100 patients with NSCLC who received immunotherapy with or without chemotherapy as 1st line treatment. In biopsy samples, the PDL1 biomarker expression rate and somatic mutations of KRAS gene were determined.

RESULTS

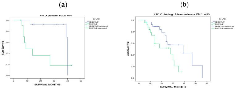
The mean age of the patients was 67 ± 8 years. Patients were all male and 66% were found with adenocarcinoma whereas 34% with squamous cell carcinoma. The KRAS G12C mutation was found with the highest percentage (73%). In the Kaplan-Meier survival analysis, patients with PDL1 > 49% in combination with a negative KRAS result had a median overall survival of 40 months compared to patients with a positive KRAS result (9 months, < 0.05). In addition, patients diagnosed with adenocarcinoma, PDL1 < 49% and negative KRAS result had a median overall survival of 39 months compared to patients with a positive result (28 months, < 0.05).

CONCLUSIONS

Our study suggests that the presence of KRAS mutations in advanced NSCLC patients has a poor prognostic value, regardless of their PDL1 expression values, after receiving immunotherapy as first-line treatment.

摘要

背景

能够预测哪些患者将从免疫检查点抑制剂(ICI)中获益的因素尚未完全明确。本研究旨在探讨KRAS生物标志物在晚期非小细胞肺癌(NSCLC)患者中的预后价值,及其与临床特征、治疗反应和PDL1表达的关系。

患者与方法

该研究纳入了100例接受一线免疫治疗(联合或不联合化疗)的NSCLC患者。在活检样本中,测定了PDL1生物标志物的表达率和KRAS基因的体细胞突变。

结果

患者的平均年龄为67±8岁。患者均为男性,66%为腺癌,34%为鳞状细胞癌。KRAS G12C突变的比例最高(73%)。在Kaplan-Meier生存分析中,PDL1>49%且KRAS结果为阴性的患者中位总生存期为40个月,而KRAS结果为阳性的患者为9个月(P<0.05)。此外,诊断为腺癌、PDL1<49%且KRAS结果为阴性的患者中位总生存期为39个月,而KRAS结果为阳性的患者为28个月(P<0.05)。

结论

我们的研究表明,晚期NSCLC患者接受一线免疫治疗后,无论其PDL1表达值如何,KRAS突变的存在均具有不良预后价值。

https://cdn.ncbi.nlm.nih.gov/pmc/blobs/4d4e/11121847/733b0b748222/jpm-14-00457-g001.jpg

文献AI研究员

20分钟写一篇综述,助力文献阅读效率提升50倍。

立即体验

用中文搜PubMed

大模型驱动的PubMed中文搜索引擎

马上搜索

文档翻译

学术文献翻译模型,支持多种主流文档格式。

立即体验