Suppr超能文献

在博茨瓦纳,接受多替拉韦利匹韦林为基础的一线抗逆转录病毒治疗的艾滋病毒感染者中低水平病毒血症是病毒学失败的预测指标。

Low-Level Viremia among Adults Living with HIV on Dolutegravir-Based First-Line Antiretroviral Therapy Is a Predictor of Virological Failure in Botswana.

机构信息

Botswana Harvard Health Partnership, Gaborone 0000, Botswana.

Department of Medical Sciences, Faculty of Allied Health Professions, University of Botswana, Gaborone 0022, Botswana.

出版信息

Viruses. 2024 May 1;16(5):720. doi: 10.3390/v16050720.

Abstract

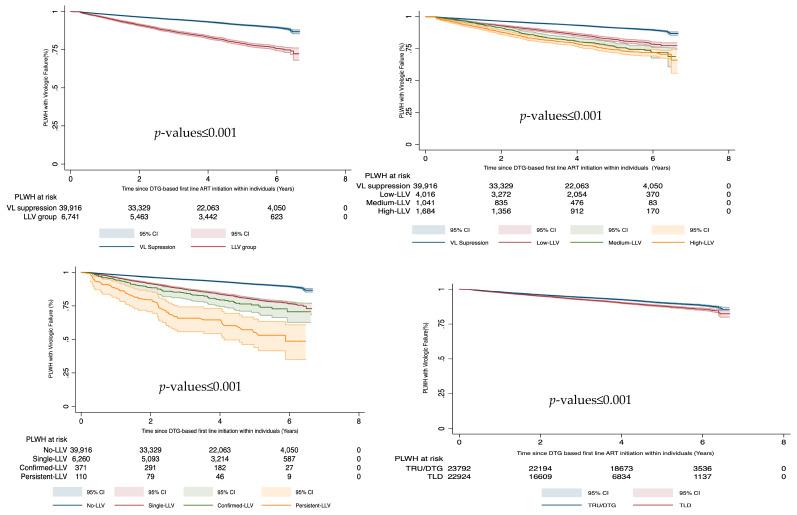
We evaluated subsequent virologic outcomes in individuals experiencing low-level virem ia (LLV) on dolutegravir (DTG)-based first-line antiretroviral therapy (ART) in Botswana. We used a national dataset from 50,742 adults who initiated on DTG-based first-line ART from June 2016-December 2022. Individuals with at least two viral load (VL) measurements post three months on DTG-based first-line ART were evaluated for first and subsequent episodes of LLV (VL:51-999 copies/mL). LLV was sub-categorized as low-LLV (51-200 copies/mL), medium-LLV (201-400 copies/mL) and high-LLV (401-999 copies/mL). The study outcome was virologic failure (VF) (VL ≥ 1000 copies/mL): virologic non-suppression defined as single-VF and confirmed-VF defined as two-consecutive VF measurements after an initial VL < 1000 copies/mL. Cox regression analysis identified predictive factors of subsequent VF. The prevalence of LLV was only statistically different at timepoints >6-12 (2.8%) and >12-24 (3.9%) (-value < 0.01). LLV was strongly associated with both virologic non-suppression (adjusted hazards ratio [aHR] = 2.6; 95% CI: 2.2-3.3, -value ≤ 0.001) and confirmed VF (aHR = 2.5; 95% CI: 2.4-2.7, -value ≤ 0.001) compared to initially virally suppressed PLWH. High-LLV (HR = 3.3; 95% CI: 2.9-3.6) and persistent-LLV (HR = 6.6; 95% CI: 4.9-8.9) were associated with an increased hazard for virologic non-suppression than low-LLV and a single-LLV episode, respectively. In a national cohort of PLWH on DTG-based first-line ART, LLV > 400 copies/mL and persistent-LLV had a stronger association with VF. Frequent VL testing and adherence support are warranted for individuals with VL > 50 copies/mL.

摘要

我们评估了博茨瓦纳接受基于多替拉韦(DTG)的一线抗逆转录病毒治疗(ART)的个体中出现低水平病毒血症(LLV)的后续病毒学结果。我们使用了 2016 年 6 月至 2022 年 12 月期间至少有两次基于 DTG 的一线 ART 三个月后病毒载量(VL)测量的 50742 名成年人的全国性数据集。对至少有两次基于 DTG 的一线 ART 三个月后 VL 测量的个体进行首次和随后 LLV(VL:51-999 拷贝/mL)发作的评估。将 LLV 进一步分为低 LLV(51-200 拷贝/mL)、中 LLV(201-400 拷贝/mL)和高 LLV(401-999 拷贝/mL)。研究结果是病毒学失败(VF)(VL≥1000 拷贝/mL):病毒学未抑制定义为单次 VF,确认 VF 定义为初始 VL<1000 拷贝/mL 后两次连续 VF 测量。Cox 回归分析确定了随后 VF 的预测因素。仅在时间点>6-12(2.8%)和>12-24(3.9%)时 LLV 的患病率具有统计学差异(-值<0.01)。与最初病毒抑制的 PLWH 相比,LLV 与病毒学未抑制(调整后的危害比[aHR]=2.6;95%CI:2.2-3.3,-值≤0.001)和确认 VF(aHR=2.5;95%CI:2.4-2.7,-值≤0.001)强烈相关。与低 LLV 和单次 LLV 发作相比,高 LLV(HR=3.3;95%CI:2.9-3.6)和持续 LLV(HR=6.6;95%CI:4.9-8.9)与病毒学未抑制的风险增加相关。在接受基于 DTG 的一线 ART 的 PLWH 全国队列中,>400 拷贝/mL 的 LLV 和持续 LLV 与 VF 的相关性更强。对于 VL>50 拷贝/mL 的个体,需要进行更频繁的 VL 检测和坚持支持治疗。

https://cdn.ncbi.nlm.nih.gov/pmc/blobs/0e9c/11125697/502efc05caff/viruses-16-00720-g001.jpg

文献AI研究员

20分钟写一篇综述,助力文献阅读效率提升50倍。

立即体验

用中文搜PubMed

大模型驱动的PubMed中文搜索引擎

马上搜索

文档翻译

学术文献翻译模型,支持多种主流文档格式。

立即体验