Suppr超能文献

由二硫键介导的环糊精接枝氧化还原响应水凝胶用于药物递送调控

Cyclodextrin-grafted redox-responsive hydrogel mediated by disulfide bridges for regulated drug delivery.

作者信息

Xu Xin, Xu Jinku, Sun Zeyuan, Tetiana Derkach

机构信息

School of Chemistry and Chemical Engineering, Qilu University of Technology (Shandong Academy of Sciences), Jinan, China.

College of Pharmacy, Kyiv National University of Technologies and Design, Kyiv, Ukraine.

出版信息

Des Monomers Polym. 2024 May 30;27(1):21-34. doi: 10.1080/15685551.2024.2358581. eCollection 2024.

Abstract

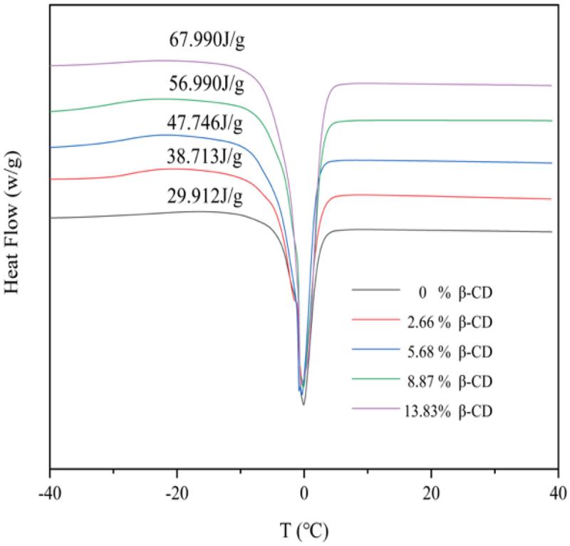
In this paper, a novel mono-methacrylated β-cyclodextrin (β-CD) monomer mediated by disulfide bond was synthesized, and then thermal copolymerized with HEMA monomer in the presence of a little crosslinker to prepare redox-responsive hydrogel for regulated drug delivery. The structure of the monomer was confirmed by FTIR, H NMR, C NMR spectroscopy. The substitution degree of polymerizable methacrylated group grafted onto β-CD was about 1 by calculating byH NMR (0.987) and element analysis (0.937). The mono-methacrylated β-CD monomer can well copolymerize with 2-hydroxyethyl methacrylate (HEMA) monomer with gel fraction over 80%. The hydrogel shows low cytotoxicity, and copolymerization of the mono-methacrylated β-CD monomer in the hydrogels increases its equilibrium swelling degree (ESD) and tensile strength, while its transmittance slightly decreases. Drug loading and release rate are dependent on the β-CD content. The hydrogel with high β-CD content of 13.83 wt% shows 1.8 and 8.5 folds puerarin (PUE) and curcumin (CUR) loading than pure pHEMA hydrogel, respectively. The incorporation of β-CD sustained drug release, especially CUR release was prolonged more than 24 h from 5 h of pure pHEMA hydrogel (80% release). The hydrogels are highly sensitive to reduced glutathione (GSH), and low concentration of GSH of 3 mM can significantly accelerate drug release rate. The higher of β-CD content, the more sensitive the hydrogels to GSH, resulting in rapider drug release rate.

摘要

本文合成了一种由二硫键介导的新型单甲基丙烯酸化β-环糊精(β-CD)单体,然后在少量交联剂存在下与甲基丙烯酸羟乙酯(HEMA)单体进行热共聚,制备用于调控药物递送的氧化还原响应水凝胶。通过傅里叶变换红外光谱(FTIR)、氢核磁共振(H NMR)、碳核磁共振(C NMR)光谱对单体结构进行了确认。通过H NMR(0.987)和元素分析(0.937)计算得出,接枝到β-CD上的可聚合甲基丙烯酸化基团的取代度约为1。单甲基丙烯酸化β-CD单体能与甲基丙烯酸2-羟乙酯(HEMA)单体很好地共聚,凝胶分数超过80%。该水凝胶具有低细胞毒性,水凝胶中加入单甲基丙烯酸化β-CD单体可提高其平衡溶胀度(ESD)和拉伸强度,而透光率略有下降。药物负载量和释放速率取决于β-CD的含量。β-CD含量为13.83 wt%的高含量水凝胶对葛根素(PUE)和姜黄素(CUR)的负载量分别是纯聚甲基丙烯酸羟乙酯(pHEMA)水凝胶的1.8倍和8.5倍。β-CD的加入使药物持续释放,尤其是姜黄素的释放时间从纯pHEMA水凝胶的5小时(80%释放)延长至超过24小时。该水凝胶对还原型谷胱甘肽(GSH)高度敏感,3 mM的低浓度GSH就能显著加速药物释放速率。β-CD含量越高,水凝胶对GSH越敏感,药物释放速率越快。

https://cdn.ncbi.nlm.nih.gov/pmc/blobs/8b59/11141310/5ca7bd8b1a41/TDMP_A_2358581_F0001_OC.jpg

文献AI研究员

20分钟写一篇综述,助力文献阅读效率提升50倍。

立即体验

用中文搜PubMed

大模型驱动的PubMed中文搜索引擎

马上搜索

文档翻译

学术文献翻译模型,支持多种主流文档格式。

立即体验