Suppr超能文献

tau 正电子发射断层扫描预测轻度认知障碍个体的痴呆。

Tau Positron Emission Tomography for Predicting Dementia in Individuals With Mild Cognitive Impairment.

机构信息

Clinical Memory Research Unit, Department of Clinical Sciences in Malmö, Lund University, Lund, Sweden.

Alzheimer Center Amsterdam, Neurology, Vrije Universiteit Amsterdam, Amsterdam University Medical Center, Amsterdam, the Netherlands.

出版信息

JAMA Neurol. 2024 Aug 1;81(8):845-856. doi: 10.1001/jamaneurol.2024.1612.

Abstract

IMPORTANCE

An accurate prognosis is especially pertinent in mild cognitive impairment (MCI), when individuals experience considerable uncertainty about future progression.

OBJECTIVE

To evaluate the prognostic value of tau positron emission tomography (PET) to predict clinical progression from MCI to dementia.

DESIGN, SETTING, AND PARTICIPANTS: This was a multicenter cohort study with external validation and a mean (SD) follow-up of 2.0 (1.1) years. Data were collected from centers in South Korea, Sweden, the US, and Switzerland from June 2014 to January 2024. Participant data were retrospectively collected and inclusion criteria were a baseline clinical diagnosis of MCI; longitudinal clinical follow-up; a Mini-Mental State Examination (MMSE) score greater than 22; and available tau PET, amyloid-β (Aβ) PET, and magnetic resonance imaging (MRI) scan less than 1 year from diagnosis. A total of 448 eligible individuals with MCI were included (331 in the discovery cohort and 117 in the validation cohort). None of these participants were excluded over the course of the study.

EXPOSURES

Tau PET, Aβ PET, and MRI.

MAIN OUTCOMES AND MEASURES

Positive results on tau PET (temporal meta-region of interest), Aβ PET (global; expressed in the standardized metric Centiloids), and MRI (Alzheimer disease [AD] signature region) was assessed using quantitative thresholds and visual reads. Clinical progression from MCI to all-cause dementia (regardless of suspected etiology) or to AD dementia (AD as suspected etiology) served as the primary outcomes. The primary analyses were receiver operating characteristics.

RESULTS

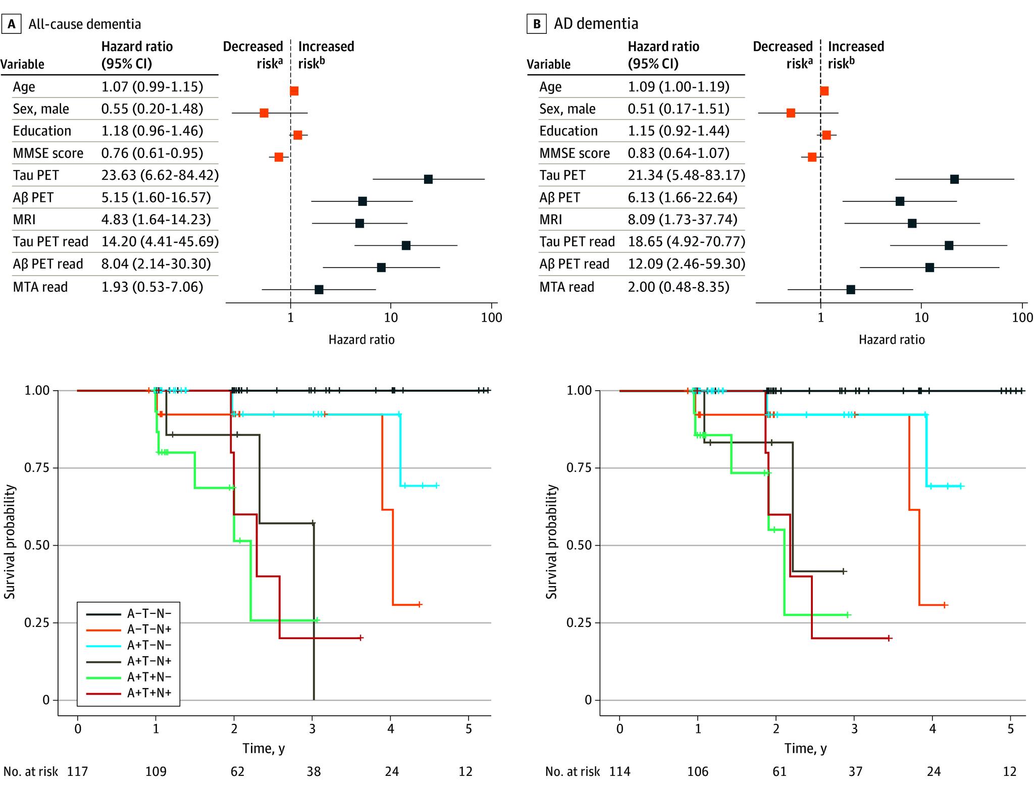
In the discovery cohort, the mean (SD) age was 70.9 (8.5) years, 191 (58%) were male, the mean (SD) MMSE score was 27.1 (1.9), and 110 individuals with MCI (33%) converted to dementia (71 to AD dementia). Only the model with tau PET predicted all-cause dementia (area under the receiver operating characteristic curve [AUC], 0.75; 95% CI, 0.70-0.80) better than a base model including age, sex, education, and MMSE score (AUC, 0.71; 95% CI, 0.65-0.77; P = .02), while the models assessing the other neuroimaging markers did not improve prediction. In the validation cohort, tau PET replicated in predicting all-cause dementia. Compared to the base model (AUC, 0.75; 95% CI, 0.69-0.82), prediction of AD dementia in the discovery cohort was significantly improved by including tau PET (AUC, 0.84; 95% CI, 0.79-0.89; P < .001), tau PET visual read (AUC, 0.83; 95% CI, 0.78-0.88; P = .001), and Aβ PET Centiloids (AUC, 0.83; 95% CI, 0.78-0.88; P = .03). In the validation cohort, only the tau PET and the tau PET visual reads replicated in predicting AD dementia.

CONCLUSIONS AND RELEVANCE

In this study, tau-PET showed the best performance as a stand-alone marker to predict progression to dementia among individuals with MCI. This suggests that, for prognostic purposes in MCI, a tau PET scan may be the best currently available neuroimaging marker.

摘要

重要性

在轻度认知障碍(MCI)中,个体对未来进展存在相当大的不确定性,因此准确的预后尤其重要。

目的

评估 tau 正电子发射断层扫描(PET)预测从 MCI 向痴呆进展的预后价值。

设计、地点和参与者:这是一项多中心队列研究,具有外部验证和平均(SD)2.0(1.1)年的随访。数据来自韩国、瑞典、美国和瑞士的中心,于 2014 年 6 月至 2024 年 1 月收集。回顾性收集参与者数据,纳入标准为基线临床诊断为 MCI;纵向临床随访;简易精神状态检查(MMSE)评分大于 22;tau PET、淀粉样蛋白-β(Aβ)PET 和磁共振成像(MRI)扫描距诊断不到 1 年。共有 448 名符合条件的 MCI 患者入选(发现队列 331 名,验证队列 117 名)。在研究过程中,没有排除任何参与者。

暴露

tau PET、Aβ PET 和 MRI。

主要结果和测量

使用定量阈值和视觉读取评估 tau PET(时间区域感兴趣区)、Aβ PET(全局;以 Centiloids 标准化度量表示)和 MRI(阿尔茨海默病[AD]特征区域)的阳性结果。MCI 向全因痴呆(无论可疑病因如何)或 AD 痴呆(AD 为可疑病因)的临床进展是主要结局。主要分析是接受者操作特征。

结果

在发现队列中,平均(SD)年龄为 70.9(8.5)岁,191 名(58%)为男性,平均(SD)MMSE 评分为 27.1(1.9),110 名 MCI 患者(33%)转为痴呆(71 例为 AD 痴呆)。只有 tau PET 模型预测全因痴呆的效果优于包括年龄、性别、教育程度和 MMSE 评分的基础模型(AUC,0.75;95%CI,0.70-0.80;AUC,0.71;95%CI,0.65-0.77;P=0.02),而评估其他神经影像学标志物的模型并未改善预测。在验证队列中,tau PET 可复制预测全因痴呆。与基础模型(AUC,0.75;95%CI,0.69-0.82)相比,在发现队列中,tau PET 的纳入显著改善了 AD 痴呆的预测(AUC,0.84;95%CI,0.79-0.89;P<0.001),tau PET 视觉读取(AUC,0.83;95%CI,0.78-0.88;P=0.001)和 Aβ PET Centiloids(AUC,0.83;95%CI,0.78-0.88;P=0.03)。在验证队列中,只有 tau PET 和 tau PET 视觉读取可以复制预测 AD 痴呆。

结论和相关性

在这项研究中,tau-PET 作为一种独立的标志物,在预测 MCI 患者向痴呆进展方面表现最佳。这表明,对于 MCI 的预后目的,tau PET 扫描可能是目前最好的神经影像学标志物。

https://cdn.ncbi.nlm.nih.gov/pmc/blobs/ce69/11165418/2ddb08b2df3a/jamaneurol-e241612-g001.jpg

文献AI研究员

20分钟写一篇综述,助力文献阅读效率提升50倍。

立即体验

用中文搜PubMed

大模型驱动的PubMed中文搜索引擎

马上搜索

文档翻译

学术文献翻译模型,支持多种主流文档格式。

立即体验