Suppr超能文献

组织蛋白酶 F 表达降低预示着透明细胞肾细胞癌患者预后不良。

Reduced expression of cathepsin F predicts poor prognosis in patients with clear cell renal cell carcinoma.

机构信息

School of Chemistry and Environmental Science, Guangdong Ocean University, Zhanjiang, 524088, China.

Department of Pharmacy, Affiliated Hospital of Guangdong Medical University, Guangdong, 524001, China.

出版信息

Sci Rep. 2024 Jun 12;14(1):13556. doi: 10.1038/s41598-024-64542-2.

Abstract

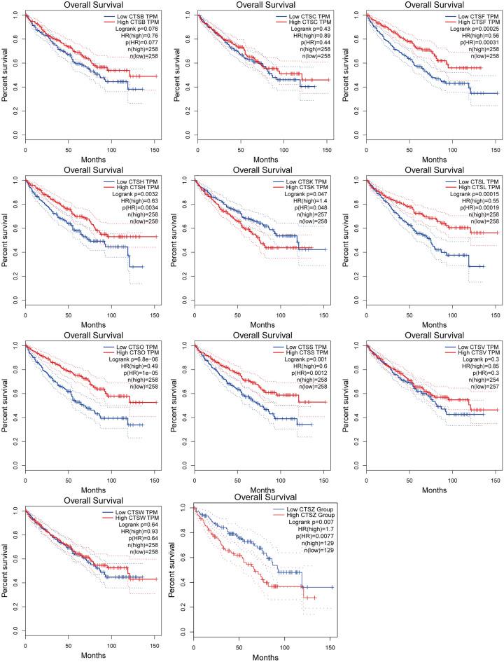
Abnormalities in the extracellular matrix (ECM) play important roles in the regulation and progression of clear cell renal cell carcinoma (ccRCC). The cysteine cathepsin is one of the major proteases involved in ECM remodeling and has been shown to be aberrantly expressed in multiple cancer types. However, the clinical significance and biological function of distinct cysteine cathepsins in ccRCC remain poorly understood. In this study, several bioinformatics databases, including UALCAN, TIMER, GEPIA and the Human Protein Atlas datasets, were used to analyze the expression and prognostic value of different cysteine cathepsin family members in ccRCC. We found that the expression level of CTSF was downregulated in tumor tissues and closely related to the poor survival of ccRCC patients. Further in vitro experiments suggested that CTSF overexpression suppressed the proliferation and migration of ccRCC cells. Moreover, the expression of CTSF was shown to be associated with several immune-infiltrating cells and immunomodulators in ccRCC. These results indicated that CTSF might be a promising diagnostic and prognostic marker in ccRCC.

摘要

细胞外基质 (ECM) 的异常在透明细胞肾细胞癌 (ccRCC) 的调控和进展中起着重要作用。半胱氨酸组织蛋白酶是参与 ECM 重塑的主要蛋白酶之一,已在多种癌症类型中显示出异常表达。然而,不同半胱氨酸组织蛋白酶在 ccRCC 中的临床意义和生物学功能仍知之甚少。在这项研究中,我们使用了UALCAN、TIMER、GEPIA 和人类蛋白质图谱数据集等几个生物信息学数据库,分析了不同半胱氨酸组织蛋白酶家族成员在 ccRCC 中的表达和预后价值。我们发现 CTSF 的表达水平在肿瘤组织中下调,与 ccRCC 患者的不良预后密切相关。进一步的体外实验表明,CTSF 过表达抑制了 ccRCC 细胞的增殖和迁移。此外,CTSF 的表达与 ccRCC 中的几种免疫浸润细胞和免疫调节剂有关。这些结果表明 CTSF 可能是 ccRCC 有前途的诊断和预后标志物。

https://cdn.ncbi.nlm.nih.gov/pmc/blobs/06f8/11169360/973635e15735/41598_2024_64542_Fig1_HTML.jpg

文献AI研究员

20分钟写一篇综述,助力文献阅读效率提升50倍。

立即体验

用中文搜PubMed

大模型驱动的PubMed中文搜索引擎

马上搜索

文档翻译

学术文献翻译模型,支持多种主流文档格式。

立即体验