Suppr超能文献

肠道微生物群与口腔癌:一项两样本双向孟德尔随机化研究。

Gut microbiota and oral cavity cancer: a two-sample bidirectional Mendelian randomization study.

作者信息

Sun Zhijuan, Bai Chunying, Hao Dandan, Jiang Xiling, Chen Jianxing

机构信息

International Education School, Chifeng University, Chifeng, China.

School of Basic Medical Sciences, Chifeng University, Chifeng, China.

出版信息

Front Oncol. 2024 May 30;14:1389678. doi: 10.3389/fonc.2024.1389678. eCollection 2024.

Abstract

UNLABELLED

This study employs a two-sample bidirectional Mendelian randomization (MR) approach to systematically evaluate the causal relationship between gut microbiota and oral cavity cancer (OCC).

OBJECTIVE

To address the challenge in establishing the causal relationship between gut microbiota and OCC, we applied a systematic MR analysis.

METHODS

Utilizing GWAS data from the MiBioGen consortium (18,340 individuals) and UK Biobank (n = 264,137), we selected instrumental variables and employed MR-Egger, weighted median, IVW, and weighted mode analyses. Heterogeneity and pleiotropy were assessed using Cochran's Q test and MR-Egger intercept test.

RESULTS

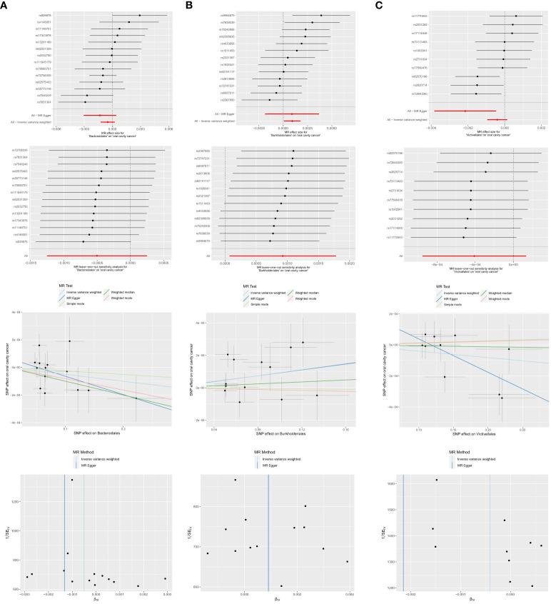
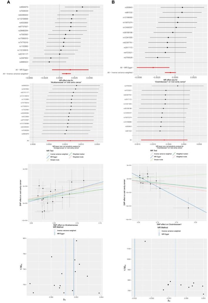
Our findings indicate, at the order level, (OR = 0.9990, 95% CI = 0.9980-1.0000, = ), (OR = 1.0009, 95% CI = 1.0001-1.0018, = ), and (OR = 0.9979, 95% CI = 0.9962-0.9995, = ) exhibit causality on OCC in the Weighted median, IVW, and MR-Egger analyses, respectively. At the family level, (OR = 1.0012, 95% CI = 1.0004-1.0019, = ) and (OR = 0.9970, 95% CI = 0.9948-0.9992, = ) show causality on OCC in IVW and MR-Egger analyses. At the genus level, (IVW, OR = 0.9987, 95% CI = 0.9980-0.9995, = ; MR-Egger, OR = 0.9978, 95% CI = 0.9962-0.9995, = ), (IVW, OR = 1.0008, 95% CI = 1.0001-1.0015, = ), (IVW, OR = 0.9995, 95% CI = 0.9990-1.0000, = ), group (IVW, OR = 1.0005, 95% CI = 1.0000-1.0009, = ), and (IVW, OR = 0.9994, 95% CI = 0.9989-0.9999, = ) are implicated in causing OCC in related analyses.

CONCLUSION

Our study identifies order, family, genus, and group as causally increasing OCC risk. In contrast, order, order, family, genus, genus, and genus are causally associated with a decreased OCC risk. However, further investigations are essential to delineate an optimal gut microbiota composition and unravel the underlying mechanisms of specific bacterial taxa in OCC pathophysiology.

摘要

未标注

本研究采用两样本双向孟德尔随机化(MR)方法,系统评估肠道微生物群与口腔癌(OCC)之间的因果关系。

目的

为应对确立肠道微生物群与OCC之间因果关系的挑战,我们进行了系统的MR分析。

方法

利用来自MiBioGen联盟(18340名个体)和英国生物银行(n = 264137)的全基因组关联研究(GWAS)数据,我们选择了工具变量,并采用了MR-Egger、加权中位数、逆方差加权(IVW)和加权模式分析。使用 Cochr an's Q检验和MR-Egger截距检验评估异质性和多效性。

结果

我们的研究结果表明,在目水平上,[具体目1](比值比(OR)= 0.9990,95%置信区间(CI)= 0.9980 - 1.0000,P值 = [具体P值1])、[具体目2](OR = 1.0009,95% CI = 1.0001 - 1.0018,P值 = [具体P值2])和[具体目3](OR = 0.9979,95% CI = 0.9962 - 0.9995,P值 = [具体P值3])在加权中位数、IVW和MR-Egger分析中分别显示出对OCC有因果关系。在科水平上,[具体科1](OR = 1.0012,95% CI = 1.0004 - 1.0019,P值 = [具体P值4])和[具体科2](OR = 0.9970,95% CI = 0.9948 - 0.9992,P值 = [具体P值5])在IVW和MR-Egger分析中显示出对OCC有因果关系。在属水平上,[具体属1](IVW,OR = 0.9987,95% CI = 0.9980 - 0.9995,P值 = [具体P值6];MR-Egger,OR = 0.9978,95% CI = 0.9962 - 0.9995,P值 = [具体P值7])、[具体属2](IVW,OR = 1.0008,95% CI = 1.0001 - 1.0015,P值 = [具体P值8])、[具体属3](IVW,OR = 0.9995,95% CI = 0.9990 - 1.0000,P值 = [具体P值9])、[具体属组](IVW,OR = 1.0005,95% CI = 1.0000 - 1.0009,P值 = [具体P值10])和[具体属4](IVW,OR = 0.9994,95% CI = 0.9989 - 0.9999,P值 = [具体P值11])在相关分析中与导致OCC有关。

结论

我们的研究确定[具体目1]目、[具体科1]科、[具体属1]属和[具体属组]组会导致OCC风险增加。相比之下,[具体目2]目、[具体目3]目、[具体科2]科、[具体属2]属、[具体属3]属和[具体属4]属与降低OCC风险存在因果关联。然而,进一步的研究对于确定最佳的肠道微生物群组成以及揭示特定细菌分类群在OCC病理生理学中的潜在机制至关重要。

https://cdn.ncbi.nlm.nih.gov/pmc/blobs/a7db/11177610/a4b13c7e88b6/fonc-14-1389678-g001.jpg

文献AI研究员

20分钟写一篇综述,助力文献阅读效率提升50倍。

立即体验

用中文搜PubMed

大模型驱动的PubMed中文搜索引擎

马上搜索

文档翻译

学术文献翻译模型,支持多种主流文档格式。

立即体验