Suppr超能文献

脱落酸生物合成基因的过表达提高了水稻幼苗的存活率和对碱性胁迫的耐受性。

Overexpression of Abscisic Acid Biosynthesis Gene Enhances Survival Rate and Tolerance to Alkaline Stress in Rice Seedlings.

作者信息

Feng Zhonghui, Xu Yang, Xie Zhiming, Yang Yaqiong, Lu Guanru, Jin Yangyang, Wang Mingming, Liu Miao, Yang Haoyu, Li Weiqiang, Liang Zhengwei

机构信息

College of Life Science, Baicheng Normal University, Baicheng 137000, China.

State Key Laboratory of Black Soils Conservation and Utilization, Northeast Institute of Geography and Agroecology, Chinese Academy of Sciences, Changchun 130102, China.

出版信息

Plants (Basel). 2024 Jun 20;13(12):1713. doi: 10.3390/plants13121713.

Abstract

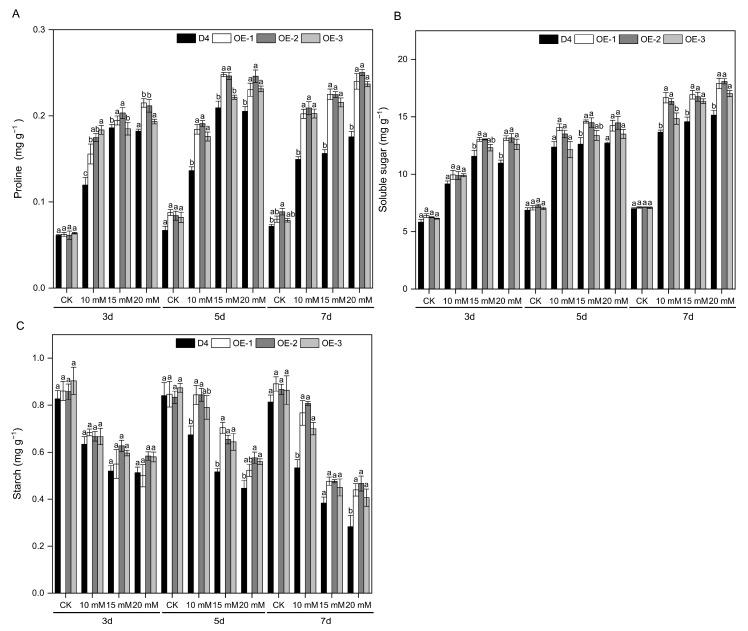
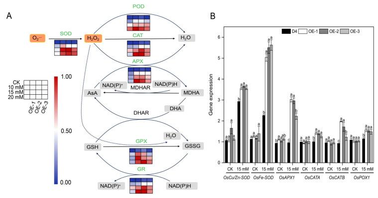
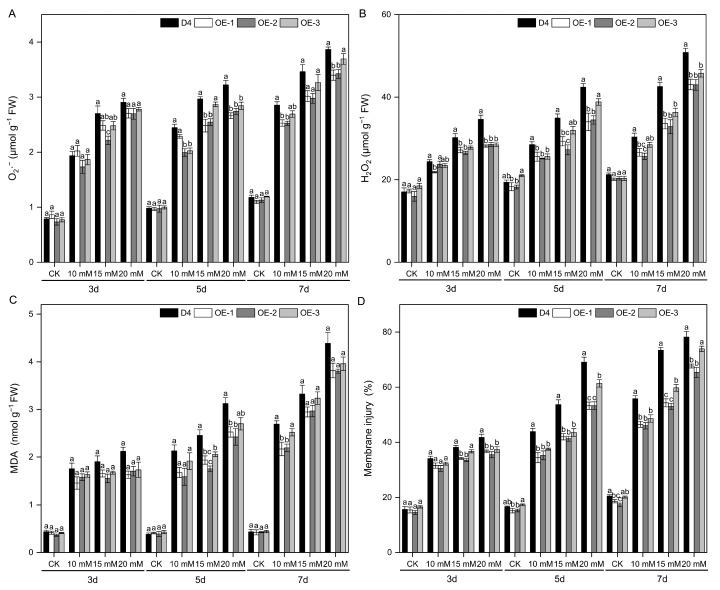
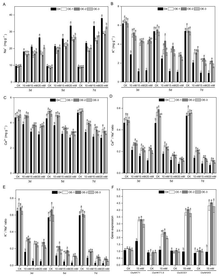
Alkaline stress with high pH levels could significantly influence plant growth and survival. The enzyme 9-cis-epoxycarotenoid dioxygenase (NCED) serves as a critical bottleneck in the biosynthesis of abscisic acid (ABA), making it essential for regulating stress tolerance. Here, we show that -overexpressing rice lines have increased ABA content by up to 50.90% and improved transcription levels of numerous genes involved in stress responses that significantly enhance seedling survival rates. Overexpression of increased the dry weight contents of the total chlorophyll, proline, soluble sugar, starch, and the activities of antioxidant enzymes of rice seedlings, while reducing the contents of O·, HO, and malondialdehyde under hydroponic alkaline stress conditions simulated by 10, 15, and 20 mmol L of NaCO. Additionally, the -overexpressing rice lines exhibited a notable increase in the expression of ; ABA response-related genes and ; ion homeostasis-related genes , , , and ; and ROS scavenging-related genes , , , , , and in rice seedling leaves. The results of these findings suggest that overexpression of upregulates endogenous ABA levels and the expression of stress response genes, which represents an innovative molecular approach for enhancing the alkaline tolerance of rice seedlings.

摘要

高pH值的碱性胁迫会显著影响植物的生长和存活。9-顺式环氧类胡萝卜素双加氧酶(NCED)是脱落酸(ABA)生物合成中的关键瓶颈,对调节胁迫耐受性至关重要。在此,我们表明过表达株系的ABA含量增加了高达50.90%,并且参与胁迫反应的众多基因的转录水平提高,显著提高了幼苗存活率。在由10、15和20 mmol/L的Na₂CO₃模拟的水培碱性胁迫条件下,过表达增加了水稻幼苗的总叶绿素、脯氨酸、可溶性糖、淀粉的干重含量以及抗氧化酶的活性,同时降低了超氧阴离子、过氧化氢和丙二醛的含量。此外,过表达水稻株系在水稻幼苗叶片中与ABA反应相关的基因、;与离子稳态相关的基因、、、和;以及与活性氧清除相关的基因、、、、、和的表达显著增加。这些研究结果表明,过表达上调了内源ABA水平和胁迫反应基因的表达,这代表了一种提高水稻幼苗耐碱性的创新分子方法。

https://cdn.ncbi.nlm.nih.gov/pmc/blobs/fe82/11207436/3c756b199005/plants-13-01713-g001.jpg

文献AI研究员

20分钟写一篇综述,助力文献阅读效率提升50倍。

立即体验

用中文搜PubMed

大模型驱动的PubMed中文搜索引擎

马上搜索

文档翻译

学术文献翻译模型,支持多种主流文档格式。

立即体验