Suppr超能文献

一种包含来自严重急性呼吸综合征冠状病毒2(SARS-CoV-2)三个抗原区域的鼻用候选疫苗,可诱导更广泛的免疫反应。

A Nasal Vaccine Candidate, Containing Three Antigenic Regions from SARS-CoV-2, to Induce a Broader Response.

作者信息

Lobaina Yadira, Chen Rong, Suzarte Edith, Ai Panchao, Musacchio Alexis, Lan Yaqin, Chinea Glay, Tan Changyuan, Silva Ricardo, Guillen Gerardo, Yang Ke, Li Wen, Perera Yasser, Hermida Lisset

机构信息

Research Department, China-Cuba Biotechnology Joint Innovation Center (CCBJIC), Lengshuitan District, Yongzhou 425000, China.

R&D Department, Yongzhou Zhong Gu Biotechnology Co., Ltd., Yangjiaqiao Street, Lengshuitan District, Yongzhou 425000, China.

出版信息

Vaccines (Basel). 2024 May 28;12(6):588. doi: 10.3390/vaccines12060588.

Abstract

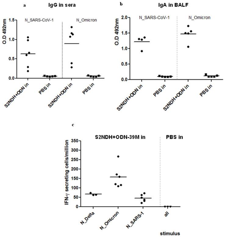
A chimeric protein, formed by two fragments of the conserved nucleocapsid (N) and S2 proteins from SARS-CoV-2, was obtained as a recombinant construct in . The N fragment belongs to the C-terminal domain whereas the S2 fragment spans the fibre structure in the post-fusion conformation of the spike protein. The resultant protein, named S2NDH, was able to form spherical particles of 10 nm, which forms aggregates upon mixture with the CpG ODN-39M. Both preparations were recognized by positive COVID-19 human sera. The S2NDH + ODN-39M formulation administered by the intranasal route resulted highly immunogenic in Balb/c mice. It induced cross-reactive anti-N humoral immunity in both sera and bronchoalveolar fluids, under a Th1 pattern. The cell-mediated immunity (CMI) was also broad, with positive response even against the N protein of SARS-CoV-1. However, neither neutralizing antibodies (NAb) nor CMI against the S2 region were obtained. As alternative, the RBD protein was included in the formulation as inducer of NAb. Upon evaluation in mice by the intranasal route, a clear adjuvant effect was detected for the S2NDH + ODN-39M preparation over RBD. High levels of NAb were induced against SARS-CoV-2 and SARS-CoV-1. The bivalent formulation S2NDH + ODN-39M + RBD, administered by the intranasal route, constitutes an attractive proposal as booster vaccine of sarbecovirus scope.

摘要

一种嵌合蛋白由严重急性呼吸综合征冠状病毒2(SARS-CoV-2)保守核衣壳(N)蛋白和S2蛋白的两个片段组成,以重组构建体的形式获得。N片段属于C末端结构域,而S2片段跨越刺突蛋白融合后构象中的纤维结构。所得蛋白质命名为S2NDH,能够形成10纳米的球形颗粒,与CpG ODN-39M混合后会形成聚集体。两种制剂均能被COVID-19阳性人类血清识别。经鼻内途径给药的S2NDH + ODN-39M制剂在Balb/c小鼠中具有高度免疫原性。它在Th1模式下诱导血清和支气管肺泡液中产生交叉反应性抗N体液免疫。细胞介导的免疫(CMI)也很广泛,甚至对SARS-CoV-1的N蛋白也有阳性反应。然而,未获得针对S2区域的中和抗体(NAb)或CMI。作为替代方案,将受体结合域(RBD)蛋白纳入制剂中作为NAb的诱导剂。经鼻内途径在小鼠中评估时,检测到S2NDH + ODN-39M制剂对RBD有明显的佐剂作用。诱导产生了针对SARS-CoV-2和SARS-CoV-1的高水平NAb。经鼻内途径给药的二价制剂S2NDH + ODN-39M + RBD,作为泛冠状病毒范围的加强疫苗是一个有吸引力的方案。

https://cdn.ncbi.nlm.nih.gov/pmc/blobs/525c/11209543/c41237551359/vaccines-12-00588-g001.jpg

文献AI研究员

20分钟写一篇综述,助力文献阅读效率提升50倍。

立即体验

用中文搜PubMed

大模型驱动的PubMed中文搜索引擎

马上搜索

文档翻译

学术文献翻译模型,支持多种主流文档格式。

立即体验