Suppr超能文献

阿尔茨海默病的神经影像学生物标志物和 CSF sTREM2 水平:一项纵向研究。

Neuroimaging biomarkers and CSF sTREM2 levels in Alzheimer's disease: a longitudinal study.

机构信息

School of Medicine, Iran University of Medical Sciences, Tehran, Iran.

Alzheimer's Disease Institute, Tehran, Iran.

出版信息

Sci Rep. 2024 Jul 3;14(1):15318. doi: 10.1038/s41598-024-66211-w.

Abstract

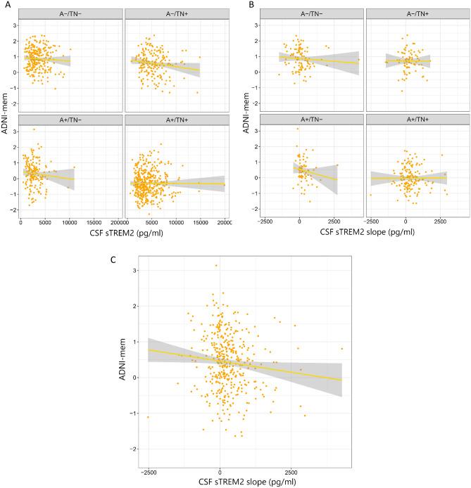
Understanding the exact pathophysiological mechanisms underlying the involvement of triggering receptor expressed on myeloid cells 2 (TREM2) related microglia activation is crucial for the development of clinical trials targeting microglia activation at different stages of Alzheimer's disease (AD). Given the contradictory findings in the literature, it is imperative to investigate the longitudinal alterations in cerebrospinal fluid (CSF) soluble TREM2 (sTREM2) levels as a marker for microglia activation, and its potential association with AD biomarkers, in order to address the current knowledge gap. In this study, we aimed to assess the longitudinal changes in CSF sTREM2 levels within the framework of the A/T/N classification system for AD biomarkers and to explore potential associations with AD pathological features, including the presence of amyloid-beta (Aβ) plaques and tau aggregates. The baseline and longitudinal (any available follow-up visit) CSF sTREM2 levels and processed tau-PET and Aβ-PET data of 1001 subjects were recruited from the ADNI database. The participants were classified into four groups based on the A/T/N framework: A+ /TN+ , A+ /TN- , A- /TN+ , and A- /TN- . Linear regression analyses were conducted to assess the relationship between CSF sTREM2 with cognitive performance, tau and Aβ-PET adjusting for age, gender, education, and APOE ε4 status. Based on our analysis there was a significant difference in baseline and rate of change of CSF sTREM2 between ATN groups. While there was no association between baseline CSF sTREM2 and cognitive performance (ADNI-mem), we found that the rate of change of CSF sTREM2 is significantly associated with cognitive performance in the entire cohort but not the ATN groups. We found that the baseline CSF sTREM2 is significantly associated with baseline tau-PET and Aβ-PET rate of change only in the A+ /TN+ group. A significant association was found between the rate of change of CSF sTREM2 and the tau- and Aβ-PET rate of change only in the A+ /TN- group. Our study suggests that the TREM2-related microglia activation and their relations with AD markers and cognitive performance vary the in presence or absence of Aβ and tau pathology. Furthermore, our findings revealed that a faster increase in the level of CSF sTREM2 might attenuate future Aβ plaque formation and tau aggregate accumulation only in the presence of Aβ pathology.

摘要

了解触发髓样细胞表达的受体 2(TREM2)相关小胶质细胞激活所涉及的确切病理生理机制对于针对阿尔茨海默病(AD)不同阶段的小胶质细胞激活进行临床试验至关重要。鉴于文献中的矛盾发现,有必要研究脑脊液(CSF)可溶性 TREM2(sTREM2)水平作为小胶质细胞激活标志物的纵向变化,及其与 AD 生物标志物的潜在关联,以解决当前的知识空白。在这项研究中,我们旨在评估 AD 生物标志物 A/T/N 分类系统框架内 CSF sTREM2 水平的纵向变化,并探索其与 AD 病理特征(包括淀粉样β(Aβ)斑块和 tau 聚集物的存在)的潜在关联。ADNI 数据库招募了 1001 名受试者的基线和纵向(任何可用的随访访问)CSF sTREM2 水平和处理 tau-PET 和 Aβ-PET 数据。根据 A/T/N 框架,参与者被分为四组:A+ /TN+ ,A+ /TN- ,A- /TN+ 和 A- /TN- 。进行线性回归分析,以评估 CSF sTREM2 与认知表现、tau 和 Aβ-PET 之间的关系,调整年龄、性别、教育程度和 APOE ε4 状态。基于我们的分析,ATN 组之间的 CSF sTREM2 基线和变化率存在显著差异。虽然 CSF sTREM2 基线与认知表现(ADNI-mem)之间没有关联,但我们发现 CSF sTREM2 的变化率与整个队列的认知表现显著相关,但与 ATN 组无关。我们发现,CSF sTREM2 基线与 A+ /TN+ 组的基线 tau-PET 和 Aβ-PET 变化率显著相关。只有在 A+ /TN- 组中,CSF sTREM2 的变化率与 tau 和 Aβ-PET 的变化率之间才存在显著关联。我们的研究表明,TREM2 相关的小胶质细胞激活及其与 AD 标志物和认知表现的关系因 Aβ 和 tau 病理的存在或不存在而不同。此外,我们的发现表明,只有在存在 Aβ 病理的情况下,CSF sTREM2 水平的快速增加可能会减轻未来 Aβ 斑块形成和 tau 聚集物的积累。

https://cdn.ncbi.nlm.nih.gov/pmc/blobs/2d8a/11222555/d8ca746a13b5/41598_2024_66211_Fig1_HTML.jpg

文献AI研究员

20分钟写一篇综述,助力文献阅读效率提升50倍。

立即体验

用中文搜PubMed

大模型驱动的PubMed中文搜索引擎

马上搜索

文档翻译

学术文献翻译模型,支持多种主流文档格式。

立即体验