Suppr超能文献

空气污染与血压:来自印度尼西亚的证据。

Air Pollution and Blood Pressure: Evidence From Indonesia.

作者信息

Madrigano Jaime, Yan Daisy, Liu Tianjia, Bonilla Eimy, Yulianti Nina, Mickley Loretta J, Marlier Miriam E

机构信息

Department of Environmental Health and Engineering Johns Hopkins Bloomberg School of Public Health Baltimore MD USA.

RAND Corporation Santa Monica CA USA.

出版信息

Geohealth. 2024 Jul 2;8(7):e2024GH001014. doi: 10.1029/2024GH001014. eCollection 2024 Jul.

Abstract

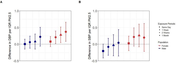
Indonesia faces significant air quality issues due to multiple emissions sources, including rapid urbanization and peatland fires associated with agricultural land management. Limited prior research has estimated the episodic shock of intense fires on morbidity and mortality in Indonesia but has largely ignored the impact of poor air quality throughout the year on biomarkers of cardiovascular disease risk. We conducted a cross-sectional study of the association between particulate matter less than 2.5 microns in diameter (PM) and blood pressure. Blood pressure measurements were obtained from the fifth wave of the Indonesian Family Life Survey (IFLS5), an ongoing population-based socioeconomic and health survey. We used the GEOS-Chem chemical transport model to simulate daily PM concentrations at 0.5° × 0.625° resolution across the IFLS domain. We assessed the association between PM and diastolic and systolic blood pressure, using mixed effects models with random intercepts for regency/municipality and household and adjusted for individual covariates. An interquartile range increase in monthly PM exposure was associated with a 0.234 (95% CI: 0.003, 0.464) higher diastolic blood pressure, with a greater association seen in participants age 65 and over (1.16 [95% CI: 0.24, 2.08]). For the same exposure metric, there was a 1.90 (95% CI: 0.43, 3.37) higher systolic blood pressure in participants 65 and older. Our assessment of fire-specific PM yielded null results, potentially due to the timing and locations of health data collection. To our knowledge, this is the first study to provide evidence for an association between PM and blood pressure in Indonesia.

摘要

由于包括快速城市化以及与农业土地管理相关的泥炭地火灾在内的多种排放源,印度尼西亚面临着严重的空气质量问题。先前有限的研究估计了严重火灾对印度尼西亚发病率和死亡率的偶发性冲击,但在很大程度上忽略了全年空气质量不佳对心血管疾病风险生物标志物的影响。我们开展了一项关于直径小于2.5微米的颗粒物(PM)与血压之间关联的横断面研究。血压测量值取自印度尼西亚家庭生活调查(IFLS5)的第五轮调查,这是一项正在进行的基于人群的社会经济和健康调查。我们使用GEOS - Chem化学传输模型,以0.5°×0.625°的分辨率模拟IFLS调查区域内的每日PM浓度。我们采用混合效应模型评估PM与舒张压和收缩压之间的关联,模型中随机截距针对摄政区/市和家庭,并对个体协变量进行了调整。每月PM暴露量增加一个四分位数间距与舒张压升高0.234(95%置信区间:0.003,0.464)相关,在65岁及以上的参与者中关联更强(1.16 [95%置信区间:0.24,2.08])。对于相同的暴露指标,65岁及以上参与者的收缩压升高1.90(95%置信区间:0.43,3.37)。我们对特定火灾产生的PM的评估未得出显著结果,这可能归因于健康数据收集的时间和地点。据我们所知,这是第一项为印度尼西亚PM与血压之间的关联提供证据的研究。

https://cdn.ncbi.nlm.nih.gov/pmc/blobs/96bf/11217989/51c6e6ed96b7/GH2-8-e2024GH001014-g002.jpg

文献AI研究员

20分钟写一篇综述,助力文献阅读效率提升50倍。

立即体验

用中文搜PubMed

大模型驱动的PubMed中文搜索引擎

马上搜索

文档翻译

学术文献翻译模型,支持多种主流文档格式。

立即体验