Suppr超能文献

结合可解释性增强机器与代谢组学方法以发现急性心肌梗死生物标志物的优势

Combining the Strengths of the Explainable Boosting Machine and Metabolomics Approaches for Biomarker Discovery in Acute Myocardial Infarction.

作者信息

Arslan Ahmet Kadir, Yagin Fatma Hilal, Algarni Abdulmohsen, Al-Hashem Fahaid, Ardigò Luca Paolo

机构信息

Department of Biostatistics and Medical Informatics, Faculty of Medicine, Inonu University, Malatya 44280, Türkiye.

Department of Computer Science, King Khalid University, Abha 61421, Saudi Arabia.

出版信息

Diagnostics (Basel). 2024 Jun 26;14(13):1353. doi: 10.3390/diagnostics14131353.

Abstract

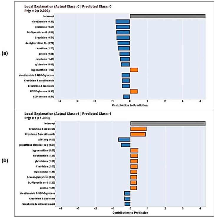
Acute Myocardial Infarction (AMI), a common disease that can have serious consequences, occurs when myocardial blood flow stops due to occlusion of the coronary artery. Early and accurate prediction of AMI is critical for rapid prognosis and improved patient outcomes. Metabolomics, the study of small molecules within biological systems, is an effective tool used to discover biomarkers associated with many diseases. This study intended to construct a predictive model for AMI utilizing metabolomics data and an explainable machine learning approach called Explainable Boosting Machines (EBM). The EBM model was trained on a dataset of 102 prognostic metabolites gathered from 99 individuals, including 34 healthy controls and 65 AMI patients. After a comprehensive data preprocessing, 21 metabolites were determined as the candidate predictors to predict AMI. The EBM model displayed satisfactory performance in predicting AMI, with various classification performance metrics. The model's predictions were based on the combined effects of individual metabolites and their interactions. In this context, the results obtained in two different EBM modeling, including both only individual metabolite features and their interaction effects, were discussed. The most important predictors included creatinine, nicotinamide, and isocitrate. These metabolites are involved in different biological activities, such as energy metabolism, DNA repair, and cellular signaling. The results demonstrate the potential of the combination of metabolomics and the EBM model in constructing reliable and interpretable prediction outputs for AMI. The discussed metabolite biomarkers may assist in early diagnosis, risk assessment, and personalized treatment methods for AMI patients. This study successfully developed a pipeline incorporating extensive data preprocessing and the EBM model to identify potential metabolite biomarkers for predicting AMI. The EBM model, with its ability to incorporate interaction terms, demonstrated satisfactory classification performance and revealed significant metabolite interactions that could be valuable in assessing AMI risk. However, the results obtained from this study should be validated with studies to be carried out in larger and well-defined samples.

摘要

急性心肌梗死(AMI)是一种可能产生严重后果的常见疾病,当冠状动脉阻塞导致心肌血流停止时就会发生。AMI的早期准确预测对于快速预后和改善患者结局至关重要。代谢组学是对生物系统内小分子的研究,是用于发现与多种疾病相关生物标志物的有效工具。本研究旨在利用代谢组学数据和一种名为可解释增强机器(EBM)的可解释机器学习方法构建AMI预测模型。EBM模型在一个由99名个体收集的102种预后代谢物的数据集上进行训练,其中包括34名健康对照和65名AMI患者。经过全面的数据预处理,确定了21种代谢物作为预测AMI的候选预测因子。EBM模型在预测AMI方面表现出令人满意的性能,具有各种分类性能指标。该模型的预测基于个体代谢物的综合作用及其相互作用。在此背景下,讨论了在两种不同的EBM建模中获得的结果,包括仅个体代谢物特征及其相互作用效应。最重要的预测因子包括肌酐、烟酰胺和异柠檬酸。这些代谢物参与不同的生物活动,如能量代谢、DNA修复和细胞信号传导。结果表明代谢组学和EBM模型相结合在构建可靠且可解释的AMI预测输出方面的潜力。所讨论的代谢物生物标志物可能有助于AMI患者的早期诊断、风险评估和个性化治疗方法。本研究成功开发了一种流程,该流程纳入了广泛的数据预处理和EBM模型,以识别预测AMI的潜在代谢物生物标志物。EBM模型具有纳入相互作用项的能力,表现出令人满意的分类性能,并揭示了在评估AMI风险方面可能有价值的显著代谢物相互作用。然而,本研究获得的结果应通过在更大且定义明确的样本中进行的研究来验证。

https://cdn.ncbi.nlm.nih.gov/pmc/blobs/27ca/11240568/9aa64f5c56c8/diagnostics-14-01353-g001.jpg

文献AI研究员

20分钟写一篇综述,助力文献阅读效率提升50倍。

立即体验

用中文搜PubMed

大模型驱动的PubMed中文搜索引擎

马上搜索

文档翻译

学术文献翻译模型,支持多种主流文档格式。

立即体验