Suppr超能文献

KRAS、STK11、KEAP1 和 TP53 基因突变对肺腺癌患者免疫检查点抑制剂临床疗效的影响。

Effects of KRAS, STK11, KEAP1, and TP53 mutations on the clinical outcomes of immune checkpoint inhibitors among patients with lung adenocarcinoma.

机构信息

Department of Clinical Oncology and Chemotherapy, Nagoya University Hospital, Nagoya, Aichi, Japan.

Department of Advanced Medicine, Nagoya University Hospital, Nagoya, Aichi, Japan.

出版信息

PLoS One. 2024 Jul 22;19(7):e0307580. doi: 10.1371/journal.pone.0307580. eCollection 2024.

Abstract

BACKGROUND

This study aimed to identify the associations between individual KRAS, STK11, KEAP1, or TP53 mutations, as well as the comutation status of these genes, and the tumor mutation burden (TMB) with clinical outcomes of lung adenocarcinoma patients treated with immune checkpoint inhibitors (ICIs).

METHODS

We collected data from patients with lung adenocarcinoma treated with ICIs from the Center for Cancer Genomics and Advanced Therapeutics (C-CAT) database between June 2019 and August 2023. The main endpoints were the treatment response and overall survival (OS).

RESULTS

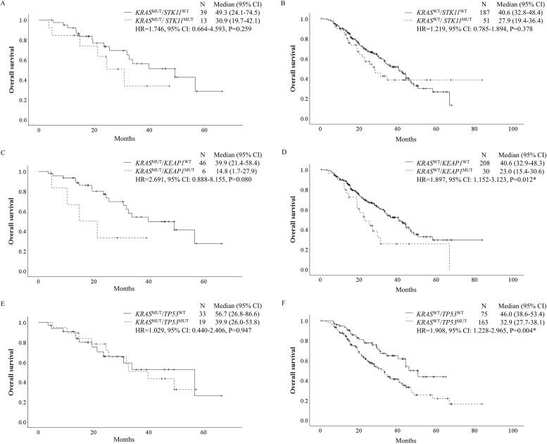
Among 343 patients with lung adenocarcinoma, 61 (18%), 69 (20%), 41 (12%), and 222 (65%) patients had KRAS, STK11, KEAP1, and TP53 mutations, respectively. An overall objective response was observed in 94 of 338 patients (28%), including 2 (1%) who achieved a complete response and 92 (27%) who achieved a partial response. Patients with STK11, KEAP1, or TP53 mutations had a significantly greater TMB (P<0.001). According to the univariate analysis, the treatment response was significantly correlated with TP53 mutation in both the general (P = 0.041) and KRAS wild-type (P = 0.009) populations. KEAP1 and TP53 mutations were associated with worse OS among assessable patients (hazard ratio (HR) = 2.027, P = 0.002; HR = 1.673, P = 0.007, respectively) and among patients without KRAS mutations (HR = 1.897, P = 0.012; HR = 1.908, P = 0.004, respectively). According to the multivariate analysis, KEAP1 (HR = 1.890, P = 0.008) and TP53 (HR = 1.735, P = 0.011) mutations were found to be independent factors for OS.

CONCLUSIONS

STK11, KEAP1, and TP53 mutations are significantly associated with a high TMB. TP53 mutation could affect the treatment response to some degree, and both KEAP1 and TP53 mutations resulted in inferior OS in the general patient population and in those with KRAS-wild-type lung adenocarcinoma, indicating that KEAP1 and TP53 mutations might act as prognostic factors for ICI treatment in lung adenocarcinoma patients.

摘要

背景

本研究旨在确定 KRAS、STK11、KEAP1 或 TP53 基因突变个体以及这些基因的共突变状态与接受免疫检查点抑制剂 (ICI) 治疗的肺腺癌患者的肿瘤突变负担 (TMB) 与临床结局之间的关联。

方法

我们从 2019 年 6 月至 2023 年 8 月期间在癌症基因组学和先进治疗中心 (C-CAT) 数据库中接受 ICI 治疗的肺腺癌患者中收集数据。主要终点是治疗反应和总生存期 (OS)。

结果

在 343 名肺腺癌患者中,61 名 (18%)、69 名 (20%)、41 名 (12%)和 222 名 (65%)患者分别存在 KRAS、STK11、KEAP1 和 TP53 突变。在 338 名可评估患者中,有 94 名 (28%)观察到总体客观缓解,包括 2 名 (1%)患者达到完全缓解,92 名 (27%)患者达到部分缓解。STK11、KEAP1 或 TP53 突变患者的 TMB 显著更高 (P<0.001)。根据单因素分析,TP53 突变与一般人群 (P = 0.041) 和 KRAS 野生型人群 (P = 0.009) 的治疗反应均显著相关。KEAP1 和 TP53 突变与可评估患者的 OS 相关 (风险比 (HR) = 2.027,P = 0.002;HR = 1.673,P = 0.007,分别) 和无 KRAS 突变患者的 OS 相关 (HR = 1.897,P = 0.012;HR = 1.908,P = 0.004,分别)。根据多因素分析,KEAP1 (HR = 1.890,P = 0.008) 和 TP53 (HR = 1.735,P = 0.011) 突变被发现是 OS 的独立因素。

结论

STK11、KEAP1 和 TP53 突变与高 TMB 显著相关。TP53 突变可能在一定程度上影响治疗反应,KEAP1 和 TP53 突变均导致一般患者人群和 KRAS 野生型肺腺癌患者的 OS 较差,表明 KEAP1 和 TP53 突变可能是肺腺癌患者接受 ICI 治疗的预后因素。

https://cdn.ncbi.nlm.nih.gov/pmc/blobs/72fa/11262633/4252dfbe05ae/pone.0307580.g001.jpg

文献AI研究员

20分钟写一篇综述,助力文献阅读效率提升50倍。

立即体验

用中文搜PubMed

大模型驱动的PubMed中文搜索引擎

马上搜索

文档翻译

学术文献翻译模型,支持多种主流文档格式。

立即体验