Suppr超能文献

使用群体生理药代动力学模型表征单克隆抗体临床药代动力学中的抗体间变异性。

Inter-Antibody Variability in the Clinical Pharmacokinetics of Monoclonal Antibodies Characterized Using Population Physiologically Based Pharmacokinetic Modeling.

作者信息

Kumar Mokshada, Lanke Sravani, Yadav Alka, Ette Mfonabasi, Mager Donald E, Shah Dhaval K

机构信息

Department of Pharmaceutical Sciences, School of Pharmacy and Pharmaceutical Sciences, The State University of New York at Buffalo, Buffalo, NY 14214-8033, USA.

Enhanced Pharmacodynamics, LLC, Buffalo, NY 14203, USA.

出版信息

Antibodies (Basel). 2024 Jul 9;13(3):54. doi: 10.3390/antib13030054.

Abstract

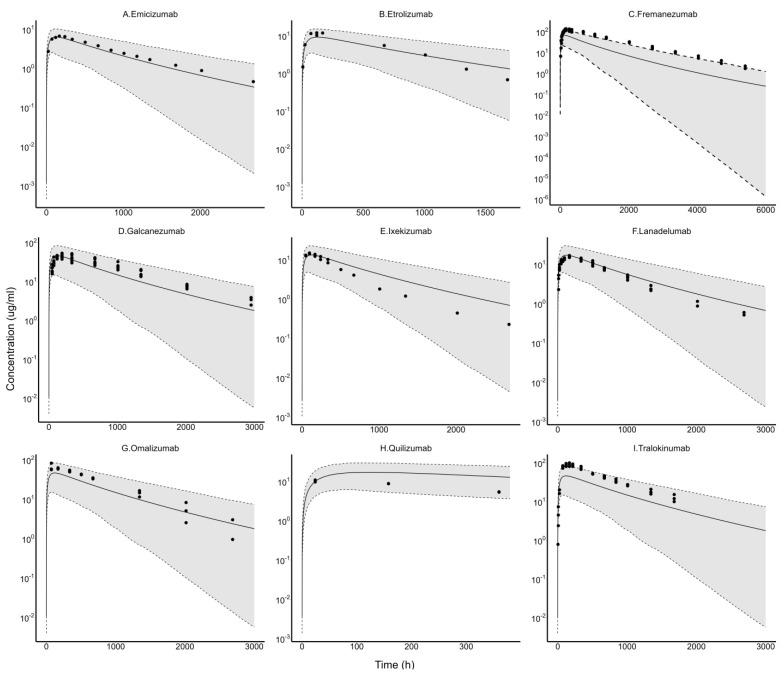
The objective of this work was to develop a population physiologically based pharmacokinetic (popPBPK) model to characterize the variability in the clinical PK of monoclonal antibodies (mAbs) following intravenous (IV) and subcutaneous (SC) administration. An extensive literature search was conducted and clinical PK data for FDA-approved as well as non-approved mAbs were collected. Training and validation datasets of 44 and 9 mAbs exhibiting linear pharmacokinetics were used for model development. The variability in antibody PK was captured by accounting for different rate constants of pinocytosis (CL) and intracellular degradation (k) for different mAbs. Typical values for CL and k and their respective inter-antibody variabilities (ωClup, ωKdeg) were estimated to be 0.32 L/h/L and 26.1 h-1 (73% and 46%). Varied absorption profiles following SC dosing were characterized by incorporating inter-antibody variability in local degradation (k) and rate of lymphatic uptake (S_Lu) of mAbs. Estimates for typical k and S_Lu values, and ωKsc,ωS_Lu, were found to be 0.0015 h-1 and 0.54 (193%, and 49%). FDA-approved mAbs showed less local degradation (0.0014 h-1 vs. 0.0038 h-1) compared with other clinically tested mAbs, whereas no substantial differences in physiological processes involved in disposition were observed. To evaluate the generalizability of estimated PK parameters and model validation, the final popPBPK model was used to simulate the range of expected PK for mAbs following SC administration of nine different mAbs that were not used for model-building purposes. The predicted PK of all nine mAbs was within the expected range specified . Thus, the popPBPK model presented here may serve as a tool to predict the clinical PK of mAbs with linear disposition before administering them to humans. The model may also support preclinical-to-clinical translation and 'first-in-human' dose determination for mAbs.

摘要

本研究的目的是建立一个基于群体生理学的药代动力学(popPBPK)模型,以表征单克隆抗体(mAb)静脉注射(IV)和皮下注射(SC)后临床药代动力学的变异性。进行了广泛的文献检索,并收集了FDA批准的以及未批准的mAb的临床药代动力学数据。44个和9个表现出线性药代动力学的mAb的训练和验证数据集用于模型开发。通过考虑不同mAb的胞饮作用(CL)和细胞内降解(k)的不同速率常数来捕捉抗体药代动力学的变异性。CL和k的典型值及其各自的抗体间变异性(ωClup,ωKdeg)估计分别为0.32 L/h/L和26.1 h-1(73%和46%)。通过纳入mAb局部降解(k)和淋巴吸收速率(S_Lu)的抗体间变异性来表征SC给药后的不同吸收曲线。典型k和S_Lu值以及ωKsc、ωS_Lu的估计值分别为0.0015 h-1和0.54(193%和49%)。与其他临床测试的mAb相比,FDA批准的mAb表现出更少的局部降解(分别为0.0014 h-1和0.0038 h-1),而在处置涉及的生理过程中未观察到实质性差异。为了评估估计的药代动力学参数的通用性和模型验证,最终的popPBPK模型用于模拟9种未用于模型构建目的的不同mAb皮下给药后预期药代动力学的范围。所有9种mAb的预测药代动力学均在指定的预期范围内。因此,本文提出的popPBPK模型可作为在将mAb应用于人体之前预测其临床药代动力学的工具。该模型还可支持mAb的临床前到临床的转化以及“首次人体”剂量的确定。

https://cdn.ncbi.nlm.nih.gov/pmc/blobs/b0d6/11270311/0093d6bb7ef8/antibodies-13-00054-g001.jpg

文献AI研究员

20分钟写一篇综述,助力文献阅读效率提升50倍。

立即体验

用中文搜PubMed

大模型驱动的PubMed中文搜索引擎

马上搜索

文档翻译

学术文献翻译模型,支持多种主流文档格式。

立即体验