Suppr超能文献

类风湿关节炎与糖尿病视网膜病变:两样本孟德尔随机研究。

Rheumatoid arthritis and diabetic retinopathy: A two-sample Mendelian randomization study.

机构信息

The First Clinical Medical College of Guangzhou University of Chinese Medicine, Guangdong Province, China.

Department of Ophthalmology, The First Affiliated Hospital of Guangzhou University of Chinese Medicine, Guangdong Province, China.

出版信息

Medicine (Baltimore). 2024 Jul 26;103(30):e39001. doi: 10.1097/MD.0000000000039001.

Abstract

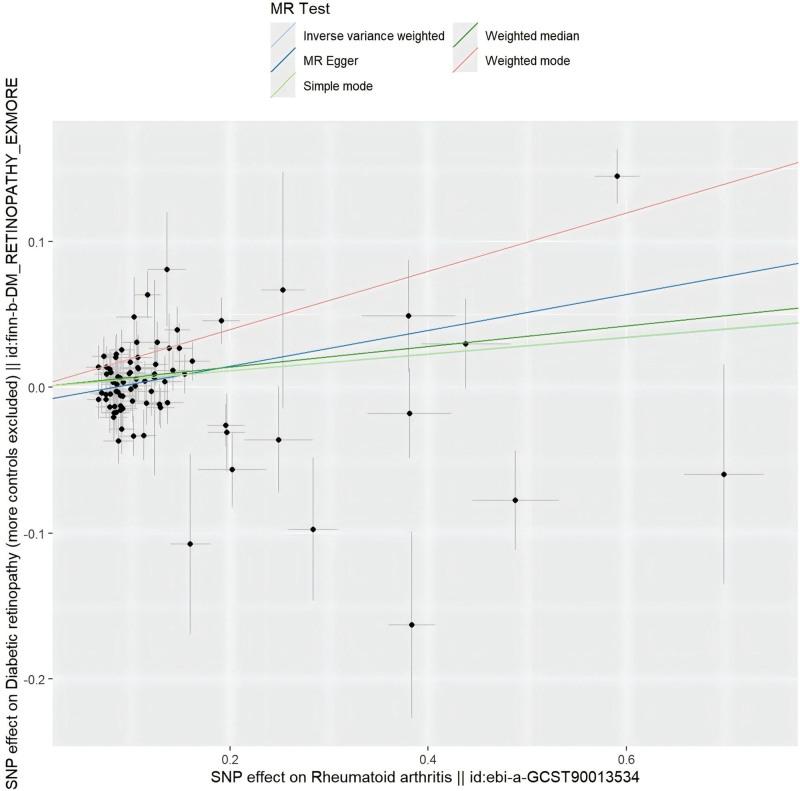
Diabetic retinopathy (DR) is a common and highly blinding disease. Many clinical studies have shown a causal relationship between Rheumatoid arthritis (RA) and DR, but the results are contradictory. In addition, some clinical results and pathological inferences have certain paradoxes, and the influence of RA on the pathogenesis and development of DR Is unclear. Our research assessed the causal association between RA and the development of DR using a 2-sample Mendelian randomization method. Single nucleotide polymorphisms (SNPs) relevant to the study were extracted and filtered from genome-wide association study (GWAS) data. A DR GWAS with a sample size of 190,594 and an RA GWAS with a sample size of 58,284 were obtained. Inverse variance weighted (IVW) method was used to analyze the results, and Mendelian randomization (MR)-Egger regression method and weighted median method were used to evaluate the robustness. Sensitivity analysis was performed using pleiotropy test, heterogeneity test, leave-one-out test to ensure that the results were unbiased. Confounding factors were eliminated to ensure robustness. A total of 83 related SNPs were screened. IVW method showed a positive correlation between RA and the increased relative risk of diabetic retinopathy (OR = 1.06, 95%CI: 1.04-1.23). The same trend was shown by MR-Egger regression method and weighted median method. Sensitivity analysis showed that there was no heterogeneity in SNPs, and the results were less likely to be affected by potential bias. After removing SNPs linked to confounders, the MR results remained significant and stable in direction. There is a positive causal association between rheumatoid arthritis and diabetic retinopathy. It is important to strengthen retina-related screening and prevention in diabetic patients with RA to reduce the risk of DR In RA patients.

摘要

糖尿病视网膜病变(DR)是一种常见且高度致盲的疾病。许多临床研究表明类风湿关节炎(RA)与 DR 之间存在因果关系,但结果相互矛盾。此外,一些临床结果和病理推断存在一定的悖论,RA 对 DR 发病机制和发展的影响尚不清楚。我们采用两样本 Mendelian 随机化方法评估 RA 与 DR 发生发展之间的因果关系。从全基因组关联研究(GWAS)数据中提取并筛选与研究相关的单核苷酸多态性(SNP)。获得了一个样本量为 190594 的 DR GWAS 和一个样本量为 58284 的 RA GWAS。采用逆方差加权(IVW)法分析结果,采用 Mendelian 随机化(MR)-Egger 回归法和加权中位数法评估稳健性。通过多效性检验、异质性检验、逐一剔除检验进行敏感性分析,以确保结果无偏。消除混杂因素以确保稳健性。共筛选出 83 个相关 SNP。IVW 法显示 RA 与糖尿病视网膜病变相对风险增加呈正相关(OR=1.06,95%CI:1.04-1.23)。MR-Egger 回归法和加权中位数法也显示出相同的趋势。敏感性分析表明 SNP 无异质性,结果受潜在偏倚影响较小。去除与混杂因素相关的 SNP 后,MR 结果在方向上仍保持显著和稳定。RA 与糖尿病视网膜病变之间存在正因果关系。对于糖尿病合并 RA 的患者,加强与视网膜相关的筛查和预防,降低 DR 的发生风险非常重要。

https://cdn.ncbi.nlm.nih.gov/pmc/blobs/0330/11272287/0b29c0170e1e/medi-103-e39001-g001.jpg

文献AI研究员

20分钟写一篇综述,助力文献阅读效率提升50倍。

立即体验

用中文搜PubMed

大模型驱动的PubMed中文搜索引擎

马上搜索

文档翻译

学术文献翻译模型,支持多种主流文档格式。

立即体验