Suppr超能文献

益生元硫醇催化硫代酰胺键的形成。

Prebiotic thiol-catalyzed thioamide bond formation.

作者信息

Hyde Andrew S, House Christopher H

机构信息

Department of Geosciences and Earth and Environmental Systems Institute, The Pennsylvania State University, University Park, 16802, PA, USA.

出版信息

Geochem Trans. 2024 Aug 5;25(1):5. doi: 10.1186/s12932-024-00088-6.

Abstract

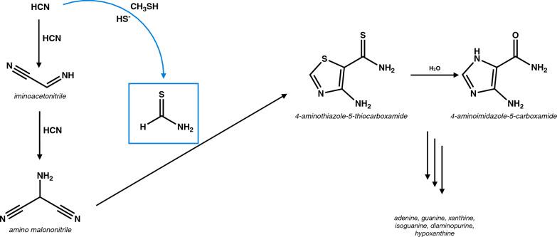
Thioamide bonds are important intermediates in prebiotic chemistry. In cyanosulfidic prebiotic chemistry, they serve as crucial intermediates in the pathways that lead to the formation of many important biomolecules (e.g., amino acids). They can also serve as purine and pyrimidine precursors, the two classes of heterocycle employed in genetic molecules. Despite their importance, the formation of thioamide bonds from nitriles under prebiotic conditions has required large excesses of sulfide or compounds with unknown prebiotic sources. Here, we describe the thiol-catalyzed formation of thioamide bonds from nitriles. We show that the formation of the simplest of these compounds, thioformamide, forms readily in spark-discharge experiments from hydrogen cyanide, sulfide, and a methanethiol catalyst, suggesting potential accumulation on early Earth. Lastly, we demonstrate that thioformamide has a Gibbs energy of hydrolysis ( ) comparable to other energy-currencies on early Earth such as pyrophosphate and thioester bonds. Overall, our findings imply that thioamides might have been abundant on early Earth and served a variety of functions during chemical evolution.

摘要

硫代酰胺键是前生物化学中的重要中间体。在硫氰化物前生物化学中,它们是导致许多重要生物分子(如氨基酸)形成的途径中的关键中间体。它们还可以作为嘌呤和嘧啶的前体,这两类杂环用于遗传分子。尽管它们很重要,但在益生元条件下由腈形成硫代酰胺键需要大量过量的硫化物或来源不明的前生物化合物。在这里,我们描述了由腈通过硫醇催化形成硫代酰胺键的过程。我们表明,在火花放电实验中,由氰化氢、硫化物和甲硫醇催化剂很容易形成这些化合物中最简单的硫代甲酰胺,这表明它可能在早期地球上积累。最后,我们证明硫代甲酰胺的水解吉布斯自由能与早期地球上的其他能量货币(如焦磷酸和硫酯键)相当。总体而言,我们的研究结果表明硫代酰胺在早期地球上可能很丰富,并在化学进化过程中发挥了多种功能。

https://cdn.ncbi.nlm.nih.gov/pmc/blobs/c10d/11299287/4ffb5427304c/12932_2024_88_Fig1_HTML.jpg

文献AI研究员

20分钟写一篇综述,助力文献阅读效率提升50倍。

立即体验

用中文搜PubMed

大模型驱动的PubMed中文搜索引擎

马上搜索

文档翻译

学术文献翻译模型,支持多种主流文档格式。

立即体验