Suppr超能文献

紫丁香苷:一种具有药用特性的天然化合物。

Syringin: a naturally occurring compound with medicinal properties.

作者信息

Qian Qingyuan, Pan Jinchao, Yang Jun, Wang Renjie, Luo Kai, Wu Zhenhui, Ma Shuhe, Wang Yuguang, Li Maoxing, Gao Yue

机构信息

College of Pharmacy, Lanzhou University, Lanzhou, China.

Institute of Radiation Medicine Sciences, Beijing, China.

出版信息

Front Pharmacol. 2024 Jul 22;15:1435524. doi: 10.3389/fphar.2024.1435524. eCollection 2024.

Abstract

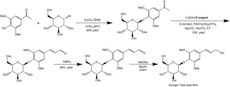
Syringin, a phenylpropanoid glycoside, is widely distributed in various plants, such as (Rupr. et Maxim.) Harms, (BL) Hara var. mandshurica (Maxim.) Hara, and Thumb. It serves as the main ingredient in numerous listed medicines, health products, and foods with immunomodulatory, anti-tumor, antihyperglycemic, and antihyperlipidemic effects. This review aims to systematically summarize syringin, including its physicochemical properties, plant sources, extraction and separation methods, total synthesis approaches, pharmacological activities, drug safety profiles, and preparations and applications. It will also cover the pharmacokinetics of syringin, followed by suggestions for future application prospects. The information on syringin was obtained from internationally recognized scientific databases through the Internet (PubMed, CNKI, Google Scholar, Baidu Scholar, Web of Science, Medline Plus, ACS Elsevier, and Flora of China) and libraries. Syringin, extraction and separation, pharmacological activities, preparations and applications, and pharmacokinetics were chosen as the keywords. According to statistics, syringin can be found in 23 families more than 60 genera, and over 100 species of plants. As a key component in many Chinese herbal medicines, syringin holds significant research value due to its unique sinapyl alcohol structure. Its diverse pharmacological effects include immunomodulatory activity, tumor suppression, hypoglycemic action, and hypolipidemic effects. Additionally, it has been shown to provide neuroprotection, liver protection, radiation protection, cardioprotection, and bone protection. Related preparations such as Aidi injection, compound cantharidin capsule, and Tanreqing injection have been widely used in clinical settings. Other studies on syringin such as extraction and isolation, total synthesis, safety profile assessment, and pharmacokinetics have also made progress. It is crucial for medical research to deeply explore its mechanism of action, especially regarding immunity and tumor therapy. Meanwhile, more robust support is needed to improve the utilization of plant resources and to develop extraction means adapted to the needs of industrial biochemistry to further promote economic development while protecting people's health.

摘要

紫丁香苷是一种苯丙素苷,广泛分布于多种植物中,如(Rupr. et Maxim.)Harms、(BL)Hara var. mandshurica(Maxim.)Hara和Thumb。它是众多具有免疫调节、抗肿瘤、降血糖和降血脂作用的上市药品、保健品和食品中的主要成分。本综述旨在系统总结紫丁香苷,包括其理化性质、植物来源、提取和分离方法、全合成方法、药理活性、药物安全性概况以及制剂与应用。还将涵盖紫丁香苷的药代动力学,随后对未来应用前景提出建议。关于紫丁香苷的信息通过互联网从国际认可的科学数据库(PubMed、CNKI、谷歌学术、百度学术、科学网、医学在线 Plus、ACS 爱思唯尔和《中国植物志》)以及图书馆获取。选取紫丁香苷、提取与分离、药理活性、制剂与应用以及药代动力学作为关键词。据统计,紫丁香苷可在23个科60多个属、100多种植物中找到。作为许多中药材的关键成分,紫丁香苷因其独特的芥子醇结构而具有重要的研究价值。其多样的药理作用包括免疫调节活性、肿瘤抑制、降血糖作用和降血脂作用。此外,它还具有神经保护、肝脏保护、辐射保护、心脏保护和骨骼保护作用。艾迪注射液、复方斑蝥胶囊和痰热清注射液等相关制剂已在临床中广泛应用。关于紫丁香苷的其他研究,如提取与分离、全合成、安全性概况评估和药代动力学也取得了进展。深入探究其作用机制,尤其是在免疫和肿瘤治疗方面,对医学研究至关重要。同时,需要更有力的支持来提高植物资源的利用率,并开发适应工业生物化学需求的提取方法,以在保护人们健康的同时进一步促进经济发展。

https://cdn.ncbi.nlm.nih.gov/pmc/blobs/52a4/11298447/f9ec5906ad89/fphar-15-1435524-g001.jpg

文献AI研究员

20分钟写一篇综述,助力文献阅读效率提升50倍。

立即体验

用中文搜PubMed

大模型驱动的PubMed中文搜索引擎

马上搜索

文档翻译

学术文献翻译模型,支持多种主流文档格式。

立即体验