Suppr超能文献

壳聚糖挤出纳米纤维生物支架局部递送间充质干细胞促进糖尿病创面愈合。

Chitosan based extruded nanofibrous bioscaffold for local delivery of mesenchymal stem cells to improve diabetic wound healing.

机构信息

Department of Pharmaceutical Biomaterials, Faculty of Pharmacy, Tehran University of Medical Sciences, Tehran, Iran.

Cell Therapy and Regenerative Medicine Research Center, Endocrinology and Metabolism Molecular-Cellular Sciences Institute, Tehran University of Medical Sciences, Tehran, Iran.

出版信息

Stem Cell Res Ther. 2024 Aug 15;15(1):262. doi: 10.1186/s13287-024-03772-7.

Abstract

BACKGROUND

Mesenchymal stem cells (MSCs)-based treatment strategy has shown promise in bolstering the healing process of chronic wounds in diabetic patients, who are at risk of amputation and mortality. To overcome the drawbacks of suboptimal cell retention and diminished cell viability at the injury site, a novel nanofibrous biomaterial-based scaffold was developed by using a controlled extrusion of a polymeric solution to deliver the cells (human adipose-derived MSCs (ADMSCs) and placenta-derived MSCs (PLMSCs)) locally to the animal model of diabetic ulcers.

METHODS

The physicochemical and biological properties of the nano-bioscaffold were characterized in terms of microscopic images, FTIR spectroscopy, tensile testing, degradation and swelling tests, contact angle measurements, MTT assay, and cell attachment evaluation. To evaluate the therapeutic efficacy, a study using an excisional wound model was conducted on diabetic rats.

RESULTS

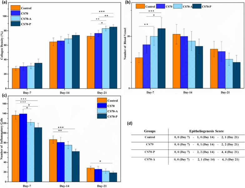
The SEM and AFM images of scaffolds revealed a network of uniform nanofibers with narrow diameters between 100-130 nm and surface roughness less than 5 nm, respectively. ADMSCs and PLMSCs had a typical spindle-shaped or fibroblast-like morphology when attached to the scaffold. Desired characteristics in terms of swelling, hydrophilicity, biodegradation rate, and biocompatibility were achieved with the CS70 formulation. The wound healing process was accelerated according to wound closure rate assay upon treatment with MSCs loaded scaffold resulting in increased re-epithelialization, neovascularization, and less inflammatory reaction. Our findings unequivocally demonstrated that the cell-loaded nano-bioscaffold exhibited more efficacy compared with its acellular counterpart. In summation, our study underscores the potential of this innovative cellular scaffold as a viable solution for enhancing the healing of diabetic ulcers.

CONCLUSION

The utilization of MSCs in a nanofibrous biomaterial framework demonstrates significant promise, providing a novel avenue for advancing wound care and diabetic ulcer management.

摘要

背景

基于间充质干细胞(MSCs)的治疗策略在增强糖尿病患者慢性伤口的愈合过程方面显示出了前景,这些患者有截肢和死亡的风险。为了克服细胞在损伤部位的保留效果不佳和细胞活力降低的缺点,我们使用聚合物溶液的受控挤出开发了一种新型纳米纤维生物材料支架,以将细胞(人脂肪来源的间充质干细胞(ADMSCs)和胎盘来源的间充质干细胞(PLMSCs))局部递送到糖尿病溃疡动物模型中。

方法

从微观图像、傅里叶变换红外光谱、拉伸试验、降解和溶胀试验、接触角测量、MTT 测定和细胞附着评估等方面对纳米生物支架的物理化学和生物学特性进行了表征。为了评估治疗效果,在糖尿病大鼠上进行了一项使用切除伤口模型的研究。

结果

支架的 SEM 和 AFM 图像显示出具有均匀纳米纤维网络的形态,其直径在 100-130nm 之间,表面粗糙度小于 5nm。ADMSCs 和 PLMSCs 附着在支架上时呈现典型的纺锤形或成纤维细胞样形态。CS70 制剂达到了所需的膨胀、亲水性、生物降解率和生物相容性等特性。在 MSC 负载支架治疗后,根据伤口闭合率测定,伤口愈合过程加速,导致再上皮化、新生血管形成增加和炎症反应减少。我们的研究结果明确表明,负载细胞的纳米生物支架比无细胞支架更有效。总之,我们的研究强调了这种创新细胞支架作为增强糖尿病溃疡愈合的可行解决方案的潜力。

结论

MSCs 在纳米纤维生物材料框架中的应用具有显著的潜力,为推进伤口护理和糖尿病溃疡管理提供了新的途径。

https://cdn.ncbi.nlm.nih.gov/pmc/blobs/7fba/11328517/100cf11b0e21/13287_2024_3772_Fig1_HTML.jpg

文献AI研究员

20分钟写一篇综述,助力文献阅读效率提升50倍。

立即体验

用中文搜PubMed

大模型驱动的PubMed中文搜索引擎

马上搜索

文档翻译

学术文献翻译模型,支持多种主流文档格式。

立即体验