Suppr超能文献

慢性阻塞性肺疾病患者低衰减区评分与肺功能及临床预后的相关性

Association of low attenuation area scores with pulmonary function and clinical prognosis in patients with chronic obstructive pulmonary disease.

作者信息

Tang Xiangli, Xu Chentao, Zhou Tianjin, Qiang Yanfei, Wu Yingzhe

机构信息

Department of Radiology, Changxing People's Hospital, Huzhou 313100, Zhejiang, China.

Department of Respiratory, Changxing People's Hospital, Huzhou 313100, Zhejiang, China.

出版信息

Open Life Sci. 2024 Aug 14;19(1):20220871. doi: 10.1515/biol-2022-0871. eCollection 2024.

Abstract

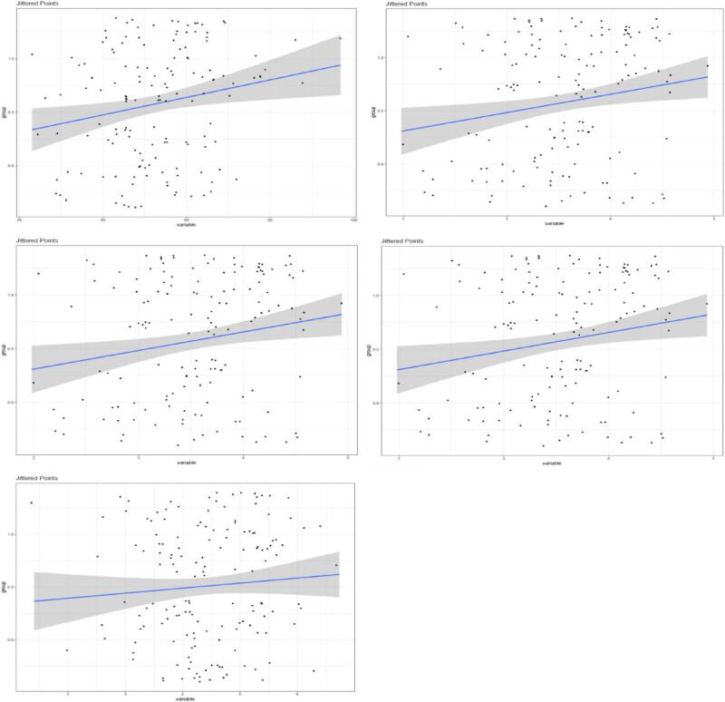
The objective of this study was to investigate the relationship between low attenuation area (LAA) scores, pulmonary function parameters, and clinical prognosis in patients with chronic obstructive pulmonary disease (COPD). COPD patients were divided into four LAA-based grades. Various lung function parameters were measured and correlated with LAA scores. Patient symptoms were examined using the St. George's Respiratory Questionnaire (SGRQ) and exercise capacity using the 6-min walk test (6MWT). Statistical analysis determined the significance of differences. Higher levels of LAA were associated with decreased lung function and airflow limitations, suggesting a positive relationship between the two. Clinical symptom scores increased as COPD severity based on LAA stratification worsened. Reduced exercise capacity was shown by a substantial decline in 6MWT scores as COPD severity increased. As LAA scores increased, SGRQ scores increased, indicating a decreased quality of life (QOL). The study demonstrated a relationship between LAA scores and COPD severity. High LAA scores were associated with poor lung function, worse clinical symptoms, limited exercise capacity, and lower QOL. These findings show that LAA scores are clinically relevant for disease severity assessment and COPD management. Further research is required to determine LAA scores' prognostic significance in disease progression and treatment response to enhance COPD therapy.

摘要

本研究的目的是探讨慢性阻塞性肺疾病(COPD)患者的低衰减区(LAA)评分、肺功能参数与临床预后之间的关系。COPD患者被分为基于LAA的四个等级。测量了各种肺功能参数,并将其与LAA评分相关联。使用圣乔治呼吸问卷(SGRQ)检查患者症状,使用6分钟步行试验(6MWT)评估运动能力。统计分析确定了差异的显著性。较高的LAA水平与肺功能下降和气流受限相关,表明两者之间存在正相关关系。随着基于LAA分层的COPD严重程度加重,临床症状评分增加。随着COPD严重程度增加,6MWT评分大幅下降表明运动能力降低。随着LAA评分增加,SGRQ评分增加,表明生活质量(QOL)下降。该研究证明了LAA评分与COPD严重程度之间的关系。高LAA评分与肺功能差、临床症状更严重、运动能力受限和QOL较低相关。这些发现表明,LAA评分在疾病严重程度评估和COPD管理中具有临床相关性。需要进一步研究以确定LAA评分在疾病进展和治疗反应中的预后意义,以加强COPD治疗。

https://cdn.ncbi.nlm.nih.gov/pmc/blobs/ad30/11330171/e25ea51d8741/j_biol-2022-0871-fig001.jpg

文献AI研究员

20分钟写一篇综述,助力文献阅读效率提升50倍。

立即体验

用中文搜PubMed

大模型驱动的PubMed中文搜索引擎

马上搜索

文档翻译

学术文献翻译模型,支持多种主流文档格式。

立即体验