Suppr超能文献

金属封装的含聚合物卤化物盐复合材料作为放射性碘的潜在长期宿主:评估卤化金属、聚卤化金属和卤化陶瓷金属。

Metal-Encapsulated, Polymer-Containing Halide Salt Composites as Potential Long-Term Hosts for Radioiodine: Evaluating Halmets, Polyhalmets, and Halcermets.

作者信息

Riley Brian J, Canfield Nathan L, Chong Saehwa, Crum Jarrod V

机构信息

Pacific Northwest National Laboratory, 902 Battelle Blvd. Richland, Washington 99354, United States.

出版信息

ACS Omega. 2024 Aug 5;9(32):34661-34674. doi: 10.1021/acsomega.4c03378. eCollection 2024 Aug 13.

Abstract

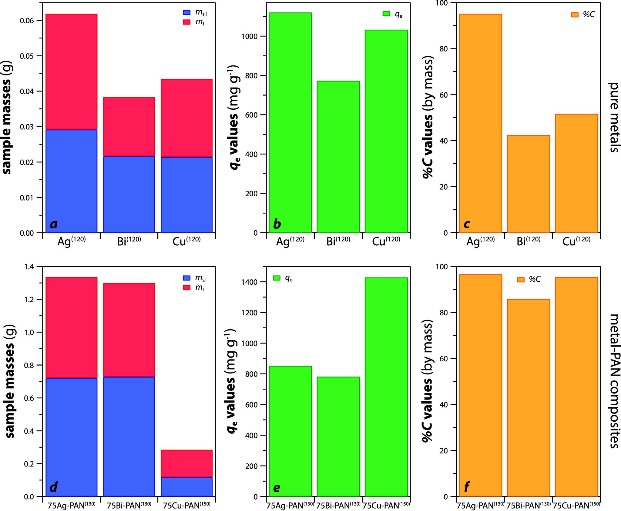
This paper presents composite waste form concepts for radioiodine immobilization including halide-metal () composites, polymer-halide-metal () composites, and halide-ceramic-metal () composites with data from experiments to evaluate these ideas. The encapsulant metal of choice for the pellets was Bi, and a cold-press-and-sinter approach was used for creating the pellets. A polymer (i.e., polyacrylonitrile or PAN) phase was included in some composite forms because this porous, passive polymer is used as a host matrix for active chemisorption-based getters. Metals of Ag, Bi, and Cu were separately embedded into PAN beads, which were loaded with iodine in static tests. Included are details of experiments where PAN removal from the iodine-loaded composite beads was evaluated to reduce the overall volume of the final waste requiring immobilization and to improve the thermal stability of the final composite form. While these experiments demonstrate new concepts for radioiodine immobilization, more work is needed to fully understand the limitations of these approaches and further optimizations are needed before implementation at larger scales is feasible.

摘要

本文介绍了用于固定放射性碘的复合废物形式概念,包括卤化物-金属()复合材料、聚合物-卤化物-金属()复合材料和卤化物-陶瓷-金属()复合材料,并给出了评估这些想法的实验数据。用于制作小球的封装金属选用铋,并采用冷压烧结法制作小球。在一些复合形式中包含聚合物(即聚丙烯腈或PAN)相,因为这种多孔的惰性聚合物用作基于化学吸附的活性吸气剂的主体基质。将银、铋和铜金属分别嵌入PAN珠中,并在静态试验中对其加载碘。文中还包括一些实验细节,在这些实验中评估了从负载碘的复合珠中去除PAN,以减少最终需要固定的废物的总体积,并提高最终复合形式的热稳定性。虽然这些实验展示了固定放射性碘的新概念,但在全面理解这些方法的局限性之前还需要开展更多工作,并且在进行更大规模的实施之前还需要进一步优化。

https://cdn.ncbi.nlm.nih.gov/pmc/blobs/1636/11325406/5727010199d4/ao4c03378_0001.jpg

文献AI研究员

20分钟写一篇综述,助力文献阅读效率提升50倍。

立即体验

用中文搜PubMed

大模型驱动的PubMed中文搜索引擎

马上搜索

文档翻译

学术文献翻译模型,支持多种主流文档格式。

立即体验