Suppr超能文献

结节硬化型和混合细胞型经典霍奇金淋巴瘤微环境中FOXP3、FOXP3/CD4及CD8细胞的丰度与爱泼斯坦-巴尔病毒状态相关。

The Abundance of FOXP3, FOXP3/CD4 and CD8 Cells in the Microenvironment of Nodular Sclerosis and Mixed Cellularity Subtypes Is Associated with the Epstein-Barr Virus Status of Classic Hodgkin Lymphoma.

作者信息

Pavlović Antonia, Miljak Antonija, Brzica Katarina, Glavina Durdov Merica

机构信息

Department of Pathology, Forensic Medicine and Cytology, University Hospital of Split, 21000 Split, Croatia.

Department of Hematology, University Hospital of Split, 21000 Split, Croatia.

出版信息

Biomedicines. 2024 Jul 27;12(8):1680. doi: 10.3390/biomedicines12081680.

Abstract

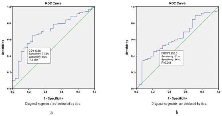
Thymic regulatory lymphocytes (Tregs) are rare in the normal periphery where they mediate immune tolerance but accumulate in the tumor immune microenvironment (TIM), reducing the antitumor response. Subtypes of classical Hodgkin lymphoma (CHL) are characterized by a minority of malignant Hodgkin and Reed-Sternberg cells (HRS) and an abundant TIM that plays a key role in modulating the disease. CHL is related to the Epstein-Barr virus (EBV), whose oncogenes influence the growth of HRS. We analyzed the number of T lymphocytes expressing the regulatory marker FOXP3 in CHL with regard to EBV status. The tumor tissue of 182 patients was stained by double immunohistochemistry for FOXP3, CD4, and CD8, and the number of different phenotypes was analyzed microscopically. EBV status was determined by EBER in situ hybridization. EBV-positive CHL was confirmed in 28% of patients and was associated with mixed cellularity (MC) ( < 0.001), older age ( < 0.001), and unfavorable outcomes ( = 0.038). The number of CD8+ T lymphocytes differed according to the EBV status of MC and nodular sclerosis (NS), and was the lowest in EBV-negative NS ( = 0.001). Likewise, the numbers for FOXP3 and FOXP3/CD4 were different, and were the lowest in EBV-negative MC ( = 0.035 and = 0.041, respectively). Values above a median of FOXP3 and CD4 are associated with longer progression-free survival ( = 0.039 and < 0.001, respectively). EBV impacts the composition of T cell phenotypes in TIM, among which the amount of CD4 and FOXP3 is prognostically valuable.

摘要

胸腺调节性淋巴细胞(Tregs)在正常外周血中数量稀少,它们介导免疫耐受,但在肿瘤免疫微环境(TIM)中会积聚,从而降低抗肿瘤反应。经典型霍奇金淋巴瘤(CHL)的亚型特征是少数恶性霍奇金和里德-斯腾伯格细胞(HRS)以及丰富的TIM,TIM在调节该疾病中起关键作用。CHL与爱泼斯坦-巴尔病毒(EBV)有关,其癌基因影响HRS的生长。我们分析了CHL中表达调节标志物FOXP3的T淋巴细胞数量与EBV状态的关系。对182例患者的肿瘤组织进行FOXP3、CD4和CD8的双重免疫组织化学染色,并在显微镜下分析不同表型的数量。通过EBER原位杂交确定EBV状态。28%的患者确诊为EBV阳性CHL,且与混合细胞型(MC)(<0.001)、老年(<0.001)和不良预后(=0.038)相关。CD8 + T淋巴细胞的数量根据MC和结节硬化型(NS)的EBV状态而有所不同,在EBV阴性的NS中最低(=0.001)。同样,FOXP3和FOXP3/CD4的数量也不同,在EBV阴性的MC中最低(分别为=0.035和=0.041)。FOXP3和CD4高于中位数的值与更长的无进展生存期相关(分别为=0.039和<0.001)。EBV影响TIM中T细胞表型的组成,其中CD4和FOXP3的数量具有预后价值。

https://cdn.ncbi.nlm.nih.gov/pmc/blobs/6dda/11352119/980dbc5c173b/biomedicines-12-01680-g001.jpg

文献AI研究员

20分钟写一篇综述,助力文献阅读效率提升50倍。

立即体验

用中文搜PubMed

大模型驱动的PubMed中文搜索引擎

马上搜索

文档翻译

学术文献翻译模型,支持多种主流文档格式。

立即体验