Suppr超能文献

三羧酸循环与非代谢过程的关系:一个关于 DNA 修复及其对癌症治疗耐药性影响的小故事。

Tricarboxylic Acid Cycle Relationships with Non-Metabolic Processes: A Short Story with DNA Repair and Its Consequences on Cancer Therapy Resistance.

机构信息

Departamento de Biología Funcional, Área de Genética, University of Oviedo, C/Julián Clavería s/n, 33006 Oviedo, Spain.

Instituto Universitario de Oncología del Principado de Asturias (IUOPA), University of Oviedo, 33006 Oviedo, Spain.

出版信息

Int J Mol Sci. 2024 Aug 21;25(16):9054. doi: 10.3390/ijms25169054.

Abstract

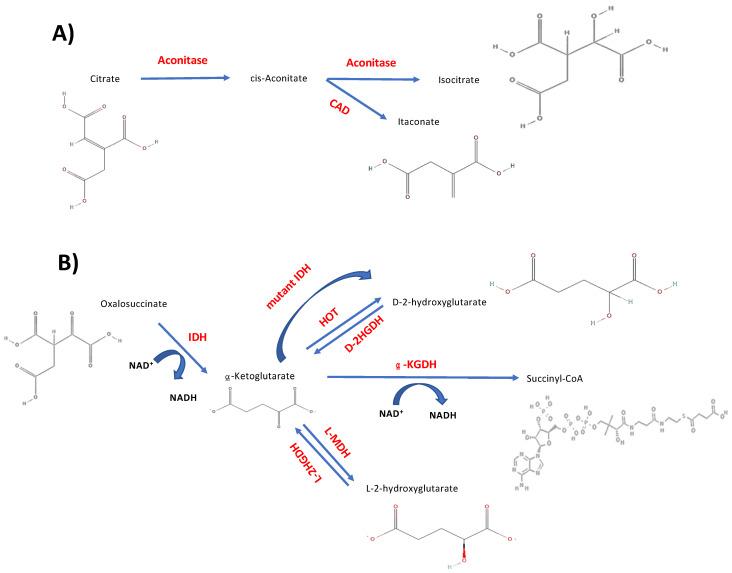
Metabolic changes involving the tricarboxylic acid (TCA) cycle have been linked to different non-metabolic cell processes. Among them, apart from cancer and immunity, emerges the DNA damage response (DDR) and specifically DNA damage repair. The oncometabolites succinate, fumarate and 2-hydroxyglutarate (2HG) increase reactive oxygen species levels and create pseudohypoxia conditions that induce DNA damage and/or inhibit DNA repair. Additionally, by influencing DDR modulation, they establish direct relationships with DNA repair on at least four different pathways. The AlkB pathway deals with the removal of N-alkylation DNA and RNA damage that is inhibited by fumarate and 2HG. The MGMT pathway acts in the removal of O-alkylation DNA damage, and it is inhibited by the silencing of the gene promoter by 2HG and succinate. The other two pathways deal with the repair of double-strand breaks (DSBs) but with opposite effects: the FH pathway, which uses fumarate to help with the repair of this damage, and the chromatin remodeling pathway, in which oncometabolites inhibit its repair by impairing the homologous recombination repair (HRR) system. Since oncometabolites inhibit DNA repair, their removal from tumor cells will not always generate a positive response in cancer therapy. In fact, their presence contributes to longer survival and/or sensitization against tumor therapy in some cancer patients.

摘要

代谢变化涉及三羧酸(TCA)循环,与不同的非代谢细胞过程有关。其中,除了癌症和免疫外,还出现了 DNA 损伤反应(DDR),特别是 DNA 损伤修复。代谢物琥珀酸、富马酸和 2-羟基戊二酸(2HG)会增加活性氧水平,并产生假性缺氧条件,从而诱导 DNA 损伤和/或抑制 DNA 修复。此外,通过影响 DDR 调节,它们与至少四条不同途径的 DNA 修复建立了直接关系。AlkB 途径负责清除 N-烷基化的 DNA 和 RNA 损伤,富马酸和 2HG 会抑制该途径。MGMT 途径作用于清除 O-烷基化的 DNA 损伤,2HG 和琥珀酸会抑制基因启动子的沉默。另外两条途径则涉及双链断裂(DSBs)的修复,但效果相反:FH 途径利用富马酸帮助修复这种损伤,而染色质重塑途径则通过损害同源重组修复(HRR)系统来抑制其修复。由于代谢物抑制 DNA 修复,因此从肿瘤细胞中去除它们并不总是会对癌症治疗产生积极反应。事实上,它们的存在有助于一些癌症患者的更长生存时间和/或对肿瘤治疗的敏感性。

https://cdn.ncbi.nlm.nih.gov/pmc/blobs/3660/11355010/8ad6fc10e3e1/ijms-25-09054-g001.jpg

文献AI研究员

20分钟写一篇综述,助力文献阅读效率提升50倍。

立即体验

用中文搜PubMed

大模型驱动的PubMed中文搜索引擎

马上搜索

文档翻译

学术文献翻译模型,支持多种主流文档格式。

立即体验