Suppr超能文献

当前针对金属-β-内酰胺酶的金属离子结合抑制剂的策略。

Current Strategy for Targeting Metallo-β-Lactamase with Metal-Ion-Binding Inhibitors.

机构信息

Laboratorio de Biotecnología Farmacéutica, Centro de Biotecnología Genómica, Instituto Politécnico Nacional, Reynosa 88710, Mexico.

Consejo Nacional de Humanidades, Ciencias y Tecnologías (CONAHCYT), Ciudad de México 03940, Mexico.

出版信息

Molecules. 2024 Aug 21;29(16):3944. doi: 10.3390/molecules29163944.

Abstract

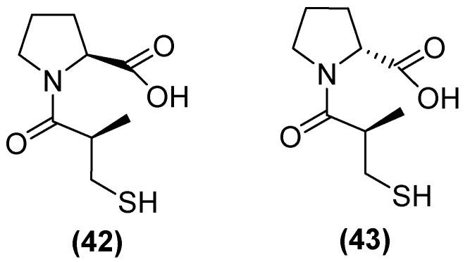
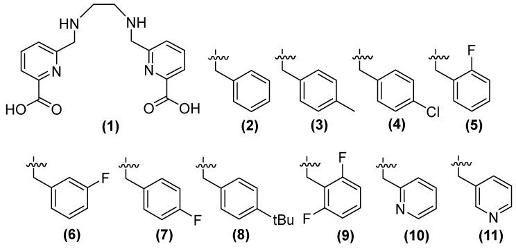
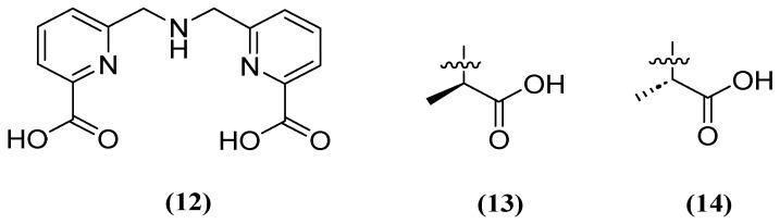
Currently, antimicrobial resistance (AMR) is a serious health problem in the world, mainly because of the rapid spread of multidrug-resistant (MDR) bacteria. These include bacteria that produce β-lactamases, which confer resistance to β-lactams, the antibiotics with the most prescriptions in the world. Carbapenems are particularly noteworthy because they are considered the ultimate therapeutic option for MDR bacteria. However, this group of antibiotics can also be hydrolyzed by β-lactamases, including metallo-β-lactamases (MBLs), which have one or two zinc ions (Zn) on the active site and are resistant to common inhibitors of serine β-lactamases, such as clavulanic acid, sulbactam, tazobactam, and avibactam. Therefore, the design of inhibitors against MBLs has been directed toward various compounds, with groups such as nitrogen, thiols, and metal-binding carboxylates, or compounds such as bicyclic boronates that mimic hydrolysis intermediates. Other compounds, such as dipicolinic acid and aspergillomarasmin A, have also been shown to inhibit MBLs by chelating Zn In fact, recent inhibitors are based on Zn chelation, which is an important factor in the mechanism of action of most MBL inhibitors. Therefore, in this review, we analyzed the current strategies for the design and mechanism of action of metal-ion-binding inhibitors that combat MDR bacteria.

摘要

目前,抗菌药物耐药性(AMR)是全球面临的一个严重的健康问题,主要是因为多药耐药(MDR)细菌的迅速传播。这些细菌包括产生β-内酰胺酶的细菌,β-内酰胺酶使细菌对世界上使用最多的抗生素——β-内酰胺类抗生素产生耐药性。碳青霉烯类抗生素尤其值得关注,因为它们被认为是治疗多药耐药细菌的终极治疗选择。然而,这组抗生素也可以被β-内酰胺酶水解,包括金属β-内酰胺酶(MBLs),其在活性部位有一个或两个锌离子(Zn),并且对丝氨酸β-内酰胺酶的常见抑制剂如克拉维酸、舒巴坦、他唑巴坦和阿维巴坦具有耐药性。因此,针对 MBL 的抑制剂的设计已经针对各种化合物进行了指导,这些化合物的基团包括氮、硫醇和金属结合羧酸酯,或者类似双环硼酸酯的化合物,这些化合物模拟水解中间体。其他化合物,如二吡啶甲酸和aspergillomarasmin A,也已被证明通过螯合 Zn 来抑制 MBL。事实上,最近的抑制剂是基于 Zn 螯合,这是大多数 MBL 抑制剂作用机制中的一个重要因素。因此,在这篇综述中,我们分析了针对金属离子结合抑制剂的设计和作用机制的现有策略,这些抑制剂可以对抗多药耐药细菌。

https://cdn.ncbi.nlm.nih.gov/pmc/blobs/9838/11356879/ed67329c1f5f/molecules-29-03944-g001.jpg

文献AI研究员

20分钟写一篇综述,助力文献阅读效率提升50倍。

立即体验

用中文搜PubMed

大模型驱动的PubMed中文搜索引擎

马上搜索

文档翻译

学术文献翻译模型,支持多种主流文档格式。

立即体验