Suppr超能文献

1 型糖尿病和接受胰岛素治疗的 2 型糖尿病患者中传感器检测到的低血糖与患者报告的低血糖之间的关系:Hypo-METRICS 研究。

Relationship Between Sensor-Detected Hypoglycemia and Patient-Reported Hypoglycemia in People With Type 1 and Insulin-Treated Type 2 Diabetes: The Hypo-METRICS Study.

机构信息

Department of Diabetes, School of Cardiovascular and Metabolic Medicine and Sciences, Faculty of Life Sciences and Medicine, King's College London, London, U.K.

St. Vincent's University Hospital, Dublin, University College Dublin, Ireland.

出版信息

Diabetes Care. 2024 Oct 1;47(10):1769-1777. doi: 10.2337/dc23-2332.

Abstract

OBJECTIVE

Use of continuous glucose monitoring (CGM) has led to greater detection of hypoglycemia; the clinical significance of this is not fully understood. The Hypoglycaemia-Measurement, Thresholds and Impacts (Hypo-METRICS) study was designed to investigate the rates and duration of sensor-detected hypoglycemia (SDH) and their relationship with person-reported hypoglycemia (PRH) in people living with type 1 diabetes (T1D) and insulin-treated type 2 diabetes (T2D) with prior experience of hypoglycemia.

RESEARCH DESIGN AND METHODS

We recruited 276 participants with T1D and 321 with T2D who wore a blinded CGM and recorded PRH in the Hypo-METRICS app over 10 weeks. Rates of SDH <70 mg/dL, SDH <54 mg/dL, and PRH were expressed as median episodes per week. Episodes of SDH were matched to episodes of PRH that occurred within 1 h.

RESULTS

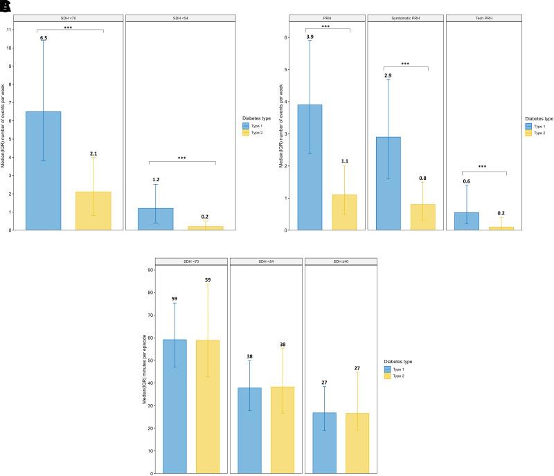
Median [interquartile range] rates of hypoglycemia were significantly higher in T1D versus T2D; for SDH <70 mg/dL (6.5 [3.8-10.4] vs. 2.1 [0.8-4.0]), SDH <54 mg/dL (1.2 [0.4-2.5] vs. 0.2 [0.0-0.5]), and PRH (3.9 [2.4-5.9] vs. 1.1 [0.5-2.0]). Overall, 65% of SDH <70 mg/dL was not associated with PRH, and 43% of PRH had no associated SDH. The median proportion of SDH associated with PRH in T1D was higher for SDH <70 mg/dL (40% vs. 22%) and SDH <54 mg/dL (47% vs. 25%) than in T2D.

CONCLUSIONS

The novel findings are that at least half of CGM hypoglycemia is asymptomatic, even below 54 mg/dL, and many reported symptomatic hypoglycemia episodes happen above 70 mg/dL. In the clinical and research setting, these episodes cannot be used interchangeably, and both need to be recorded and addressed.

摘要

目的

连续血糖监测(CGM)的使用提高了低血糖的检出率,但对其临床意义尚未完全了解。低血糖计量、阈值和影响(Hypo-METRICS)研究旨在调查有低血糖既往史的 1 型糖尿病(T1D)和接受胰岛素治疗的 2 型糖尿病(T2D)患者中,传感器检测到的低血糖(SDH)的发生率和持续时间及其与患者报告的低血糖(PRH)的关系。

研究设计和方法

我们招募了 276 名 T1D 患者和 321 名 T2D 患者,他们佩戴了盲法 CGM,并在 Hypo-METRICS 应用程序中记录了 10 周的 PRH。SDH<70mg/dL、SDH<54mg/dL 和 PRH 的发生率以每周中位数发作次数表示。SDH 发作与 1 小时内发生的 PRH 发作相匹配。

结果

T1D 患者的低血糖发生率明显高于 T2D 患者;SDH<70mg/dL(6.5[3.8-10.4]比 2.1[0.8-4.0])、SDH<54mg/dL(1.2[0.4-2.5]比 0.2[0.0-0.5])和 PRH(3.9[2.4-5.9]比 1.1[0.5-2.0])。总体而言,65%的 SDH<70mg/dL 与 PRH 无关,43%的 PRH 无相关的 SDH。在 T1D 中,与 PRH 相关的 SDH 中,SDH<70mg/dL(40%比 22%)和 SDH<54mg/dL(47%比 25%)的比例高于 T2D。

结论

新发现是,至少一半的 CGM 低血糖是无症状的,甚至低于 54mg/dL,而且许多报告的有症状低血糖发作发生在 70mg/dL 以上。在临床和研究环境中,这些发作不能互换使用,两者都需要记录和处理。

https://cdn.ncbi.nlm.nih.gov/pmc/blobs/4642/11417281/f3e69f552484/dc232332F0GA.jpg

文献AI研究员

20分钟写一篇综述,助力文献阅读效率提升50倍。

立即体验

用中文搜PubMed

大模型驱动的PubMed中文搜索引擎

马上搜索

文档翻译

学术文献翻译模型,支持多种主流文档格式。

立即体验