Suppr超能文献

由 支持的分歧下游生物合成途径。

Divergent downstream biosynthetic pathways are supported by <sc>L</sc>-cysteine synthases of .

机构信息

National Institute of Immunology, New Delhi, India.

CSIR-Centre for Cellular and Molecular Biology, Hyderabad, India.

出版信息

Elife. 2024 Aug 29;12:RP91970. doi: 10.7554/eLife.91970.

Abstract

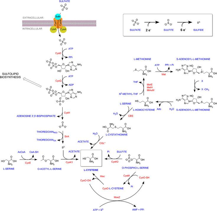
's () autarkic lifestyle within the host involves rewiring its transcriptional networks to combat host-induced stresses. With the help of RNA sequencing performed under various stress conditions, we identified that genes belonging to sulfur metabolism pathways are significantly upregulated during oxidative stress. Using an integrated approach of microbial genetics, transcriptomics, metabolomics, animal experiments, chemical inhibition, and rescue studies, we investigated the biological role of non-canonical L-cysteine synthases, CysM and CysK2. While transcriptome signatures of and appear similar under regular growth conditions, we observed unique transcriptional signatures when subjected to oxidative stress. We followed pool size and labelling (S) of key downstream metabolites, viz. mycothiol and ergothioneine, to monitor L-cysteine biosynthesis and utilization. This revealed the significant role of distinct L-cysteine biosynthetic routes on redox stress and homeostasis. CysM and CysK2 independently facilitate survival by alleviating host-induced redox stress, suggesting they are not fully redundant during infection. With the help of genetic mutants and chemical inhibitors, we show that CysM and CysK2 serve as unique, attractive targets for adjunct therapy to combat mycobacterial infection.

摘要

()在宿主中的自主生活方式涉及重新布线其转录网络以对抗宿主诱导的应激。在各种应激条件下进行的 RNA 测序的帮助下,我们发现属于硫代谢途径的基因在氧化应激期间显著上调。通过微生物遗传学、转录组学、代谢组学、动物实验、化学抑制和挽救研究的综合方法,我们研究了非典型 L-半胱氨酸合酶 CysM 和 CysK2 的生物学作用。虽然 和 在常规生长条件下的转录组特征相似,但我们在受到氧化应激时观察到独特的转录特征。我们跟踪关键下游代谢物(即麦硫因和谷胱甘肽)的池大小和标记(S),以监测 L-半胱氨酸的生物合成和利用。这揭示了不同的 L-半胱氨酸生物合成途径在氧化还原应激和动态平衡中的重要作用。CysM 和 CysK2 独立地通过减轻宿主诱导的氧化还原应激来促进 的存活,表明它们在感染过程中并非完全冗余。借助遗传突变体和化学抑制剂,我们表明 CysM 和 CysK2 可作为辅助治疗的独特、有吸引力的靶点,以对抗分枝杆菌感染。

https://cdn.ncbi.nlm.nih.gov/pmc/blobs/9c59/11361707/ab851ec0c319/elife-91970-fig1.jpg

文献AI研究员

20分钟写一篇综述,助力文献阅读效率提升50倍。

立即体验

用中文搜PubMed

大模型驱动的PubMed中文搜索引擎

马上搜索

文档翻译

学术文献翻译模型,支持多种主流文档格式。

立即体验